环境因素识别与评价结果一览表 总 序 号 施工区域 活动/ 产品/ 服务 分 序 不利环境因素 可能 导致 影响 影响级别 现有 控...
环境因素识别、评价一览表(钢结构) ZZ/P04-2009- 01 活 动 /产品/服务(场所) 序号 环境因素 环境影响 时态/状态 评价要素得...
重大一般1工作环境有传染病源疾病√身体健康检查2电脑、复印机、打印机使用电磁辐射√计算机管理规定,合理安排工作时间3水龙头、水管损坏...
* * * * * * * * * * * * * * * * 有限公司 环境因素识别登记表 表格编号:**-AQHB-22 序号 区 域 活 动 环境因素...
玫瑰小镇嫁接花一览表 嫁接花时间表: 梅花+梅花=四季五福花 (魅力 4,经验 30,生长周期 10 小时,开花4 小时,产量 22 梅花+...
攻击类名称 属性搭配末世+60%物理攻击;+30%攻击速度;+10%物理吸血速击之枪+匕首泣血之刃+100物理攻击;+25%物理吸血风暴巨制+铁剑无尽利...
玉林中专学校一览表
社区矫正犯罪分类一览表 第一章 危害国家安全罪 1、背叛国家罪(第 102 条) 2、分裂国家罪(第 103 条第 1 款) 3、煽动分裂国...
5094贵重珠宝、首饰,钟表零售1.256%5811包办伙食、宴会承包商1.256%5812就餐场所和餐馆(包括快餐)1.256%5813饮酒场所-酒吧、夜总会、茶...
物业公司有偿服务项目及收费标准一览表(参考) 类别 序号 服务内容 收费标准 操作规程 备注 车辆庭泊服务费 1 大车(黄牌)停放...
5 附件2 禁止使用和淘汰的煤矿设备和工艺目录(第一批)的说明表 序号 设备或工艺名称 淘 汰 原 因 备 注 期 限 1 采用DW10...
煤炭行业95个工种一览表
焊材 种类 牌号 型号 执行标准 技术条件 国内焊材厂商牌号 国外焊材厂商牌号 备注 碳钢低合金钢焊条 J422 E4303 GB/T5117-95 ...
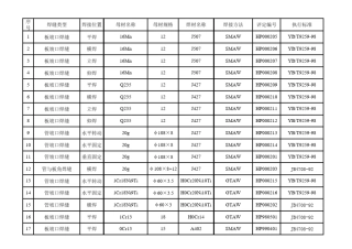
焊接工艺评定项目一览表 中国化学工程第十三建设公司 焊接试验室编 焊接工艺评定项目一览表 序 号 工艺评定编号 板 材 管 材 焊...
焊接工艺评定一览表
热血球球2全球员意志球员卡完整一览表 被 动意志 意 志 名 称 意 志 增 益 效 果 意 志 所 需 球 员 卡 姓 名 能 ...
全国邮政编码一览表北京市北京市顺义县延庆县房山区100000101300102100102400通州区怀柔县昌平县大兴县101100101400102200102600平谷县密云...
全年卫生日一览表序号12宣传日期1 月最后 1 个星期日2 月 4 日卫生宣传日名称世界防治麻风病日世界抗癌日序号2526宣传日期6 月 14...
元明清文学史最全名词解释一览表一、戏曲部1.杂剧:中国戏曲艺术发展到成熟阶段的最早的戏曲种类。以其发展衍变地域和时期的不同,又可分为...
会计科目一览表序号编号科目一级科目二级科目三级科目一、资产类12341001100210020110020210031009100901100902100903100904100905100906现...

