有理数的混合运算加强练习题班级______姓名__________时间:(1);(2);(3);(4);(5);(6);(7);(8);(9);(10);(1...
瓜州县沙河乡中心小学刘玉娟(北师大版)小学五年级数学(下册)——++==2211221133==33442233××==2255112222==4477÷÷66==3377÷÷==11...
混合动力车辆结构与控制原理赵玉亮18210717677QQ:331945160概述•混合动力汽车(HybridElectricalVehicle,简称HEV)是指同时装备两种动力来...
分数的混合运算——解决问题例(3)一、教学目标1.解决问题的全过程,探索解决问题的途径、策略和方法,体会图示在理解问题、分析问题中的...
有理数的加减混合运算有理数的加减混合运算1.叙述有理数的加法法则.2.叙述有理数的加法运算律.3.叙述有理数的减法法则.4.小学加减法...
腮腺混合瘤围手术期护理九病区腮腺混合瘤——【定义】:腮腺混合瘤或称多形性腺瘤是一种含有腮腺组织,粘液和软骨样组织的腮腺肿瘤,故称...
有理数的混合运算我们学过的有理数的运算律:加法交换律:a+b=b+a;加法结合律:(a+b)+c=a+(b+c);乘法交换律:ab=ba;乘法结合律:(ab)c=a...
学习新知随堂练习作业设计第2单元分数混合运算六年级数学·上新课标[北师]复习准备1分数混合运算(一)第2课时分数混合运算顺序复习准备1....
有理数加减混合运算的步骤(1)把算式中的减法都转化为加法;(1)把算式中的减法都转化为加法;(2)进行运算(尽可能利用运算律简(2...
有理数加减混合运算有理数加减混合运算复习回顾•(1)有理数的加法法则是什么?•(2)有理数的减法法则是怎样的?有理数的加法法则:(1)同号...
1有理数运算同步练习(满分100分)1.计算题:(10′×5=50′)(1)3.28-4.76+1-;(2)2.75-2-3+1;(3)42÷(-1)-1÷(-0.125);(...
1.3.31.3.3有理数的加减有理数的加减混合运算混合运算1.3.31.3.3有理数的加减有理数的加减混合运算混合运算•叙述有理数加法法则•叙述有理...
加乘、减乘混合运算回顾反思自主练习合作探索情境导入从图中,你知道了哪些数学信息?根据这些信息,你能提出什么问题?明明一、情境导入一...
36+28+17=65-25-21=(一)竖式计算36+2864+17818119能用简便写法吗?说一说计算的方法。65-2540-2119二、探究新知二、探究新知先...
5.1分数混合运算(一)连续求一个数的几分之几是多少温馨提示分数混合运算的运算顺序知识点连续求一个数的几分之几是多少:2、运算顺序:分...
分数四则运算应用题练习1、(1)某工厂十月份实际用水480吨,比原计划节约了,十月份原计划用水多少吨?(2)某工厂十月份原计划用水480吨...
坂中中心小学六(4)班+31〔(+)×〕仿照整数四则混合运算的顺序,试着说出分数四则混合运算的顺序。2132÷①②51÷3251131①②③(1)...
除以一个不等于0的数,等于()。÷335×337-52513241÷÷321335÷313×说出下面各题的运算顺序18×25÷15179-36+2517...
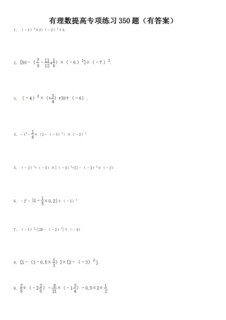
有理数提高专项练习350题(有答案)1.(﹣1)2×2+(﹣2)3÷4.2..3..4.﹣14﹣×〔2﹣(﹣3)2〕×(﹣2)35.(﹣2)3+(﹣3)×[...
1.4.2有理数的除法第二课时有理数的除法法则有理数除法法则一:两数相除,同号得___,异号得__,并把绝对值相__。0除以任何一个不等于0...

