电脑桌面
添加小米粒文库到电脑桌面
安装后可以在桌面快捷访问

应用回归分析第四版课后习题答案_全_何晓群_刘文卿VIP免费

应用回归分析第四版课后习题答案_全_何晓群_刘文卿_第1页
1/9
应用回归分析第四版课后习题答案_全_何晓群_刘文卿_第2页
2/9
应用回归分析第四版课后习题答案_全_何晓群_刘文卿_第3页
3/9
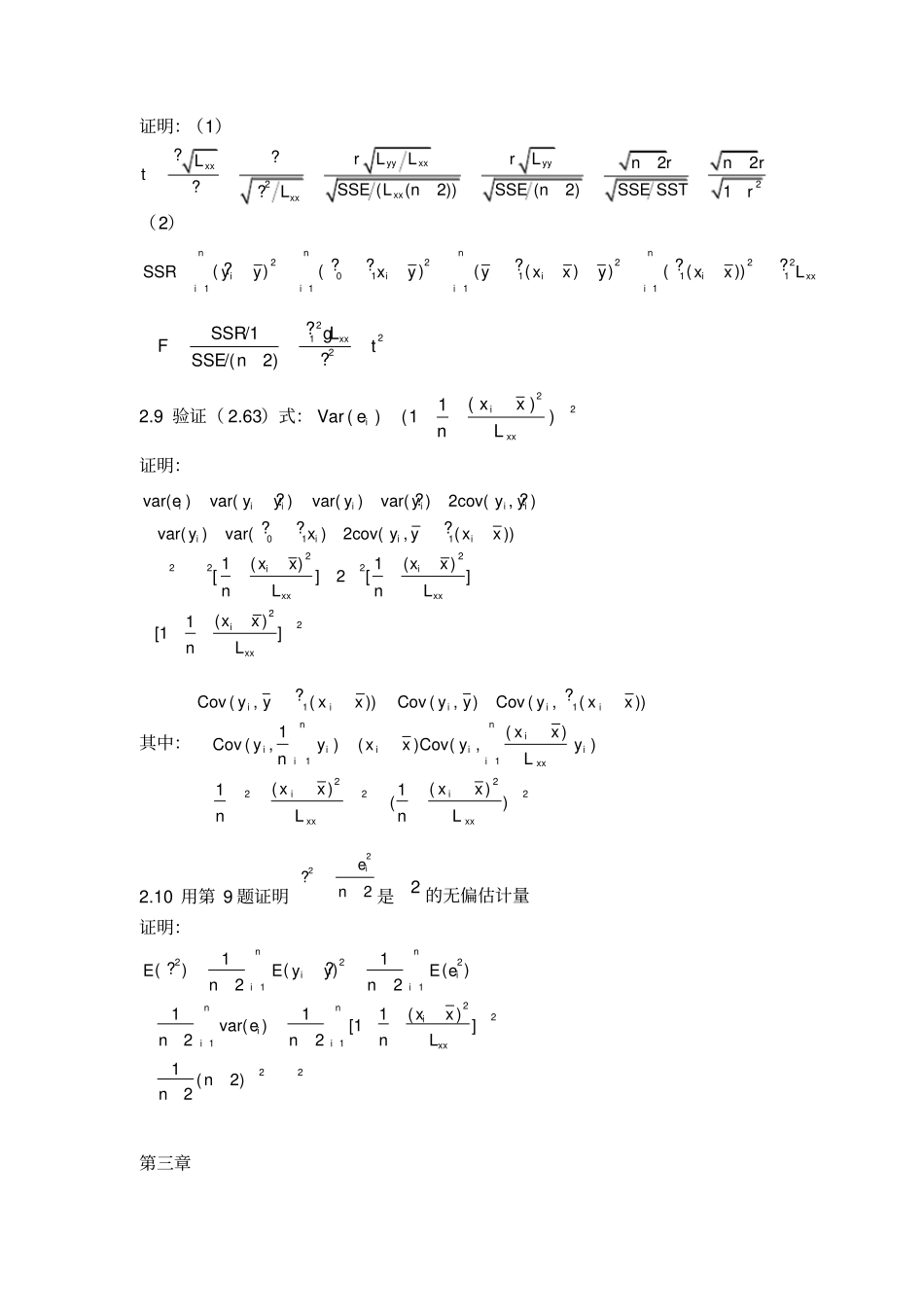
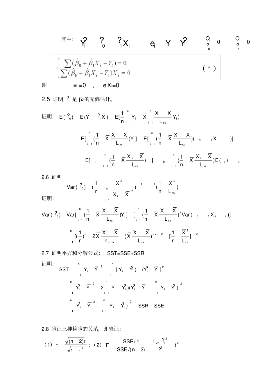
实用回归分析第四版第一章回归分析概述1.3 回归模型中随机误差项ε 的意义是什么?答:ε为随机误差项,正是由于随机误差项的引入,才将变量间的关系描述为一个随机方程,使得我们可以借助随机数学方法研究y 与 x1,x2 ⋯..xp的关系,由于客观经济现象是错综复杂的,一种经济现象很难用有限个因素来准确说明,随机误差项可以概括表示由于人们的认识以及其他客观原因的局限而没有考虑的种种偶然因素。1.4 线性回归模型的基本假设是什么?答:线性回归模型的基本假设有:1. 解释变量 x1.x2 ⋯.xp 是非随机的,观测值xi1.xi2⋯..xip是常数。 2. 等方差及不相关的假定条件为{E( ε i)=0 i=1,2⋯ . Cov(ε i, ε j)= {σ ^23. 正态分布的假定条件为相互独立。4. 样本容量的个数要多于解释变量的个数,即 n>p. 第二章一元线性回归分析思考与练习参考答案2.1一元线性回归有哪些基本假定? 答: 假设 1、解释变量 X 是确定性变量, Y 是随机变量;假设 2、随机误差项 ε 具有零均值、同方差和不序列相关性:E(εi)=0 i=1,2, ⋯,nVar ( εi)=2i=1,2, ⋯,nCov(εi, εj)=0 i ≠j i,j= 1,2, ⋯,n假设 3、随机误差项 ε 与解释变量 X 之间不相关:Cov(Xi, εi)=0 i=1,2, ⋯,n假设 4、ε 服从零均值、同方差、零协方差的正态分布εi~N(0, 2 ) i=1,2, ⋯,n2.3 证明( 2.27 式), ei =0 , eiXi=0 。证明:niiiniXYYYQ121021))??(()?(其中:即:ei =0 , eiXi=02.5 证明0? 是 β0的无偏估计。证明:)1[)?()?(1110niixxiniiYLXXXYnEXYEE)])(1([])1([1011iixxiniixxiniXLXXXnEYLXXXnE01010)()1(])1([ixxiniixxiniELXXXnLXXXnE2.6 证明证明:)]()1([])1([)?(102110iixxiniixxiniXVarLXXXnYLXXXnVarVar222212]1[])(2)1[(xxxxixxiniLXnLXXXnLXXXn2.7 证明平方和分解公式: SST=SSE+SSR证明:2.8 验证三种检验的关系,即验证:(1)21)2(rrnt;(2)2221??)2/(1/tLnSSESSRFxx01????iiiiiYXeYY)1()1()?(2221220xxniiLXnXXXnVarniiiiniiYYYYYYSST1212]?()?[niiiniiiiniiYYYYYYYY12112)??)(?2?SSESSR)Y?YYY?n1i2iin1i2i0100??QQ证明:(1)22??22?((2))(2)?1yyxxyyxxxxxxrLLrLLnrnrtSSE LnSSE nSSE SSTLr(2)22222011111111??????()()(())(())nnnniiiixxiiiiSSRyyxyyxxyxxL2212?/1?/(2)xxLSSRFtSSE ng2.9 验证( 2.63)式:2211)L)xx(n()e(Varxxii证明:0112222222???var()var()var...

1、当您付费下载文档后,您只拥有了使用权限,并不意味着购买了版权,文档只能用于自身使用,不得用于其他商业用途(如 [转卖]进行直接盈利或[编辑后售卖]进行间接盈利)。
2、本站所有内容均由合作方或网友上传,本站不对文档的完整性、权威性及其观点立场正确性做任何保证或承诺!文档内容仅供研究参考,付费前请自行鉴别。
3、如文档内容存在违规,或者侵犯商业秘密、侵犯著作权等,请点击“违规举报”。

碎片内容

应用回归分析第四版课后习题答案_全_何晓群_刘文卿

文库当当响+ 关注
实名认证
内容提供者

该用户很懒,什么也没介绍

确认删除?
VIP
微信客服
  • 扫码咨询
会员Q群
  • 会员专属群点击这里加入QQ群
客服邮箱
回到顶部