电脑桌面
添加小米粒文库到电脑桌面
安装后可以在桌面快捷访问

工程数学线性代数复习资料VIP免费

工程数学线性代数复习资料_第1页
1/9
工程数学线性代数复习资料_第2页
2/9
工程数学线性代数复习资料_第3页
3/9
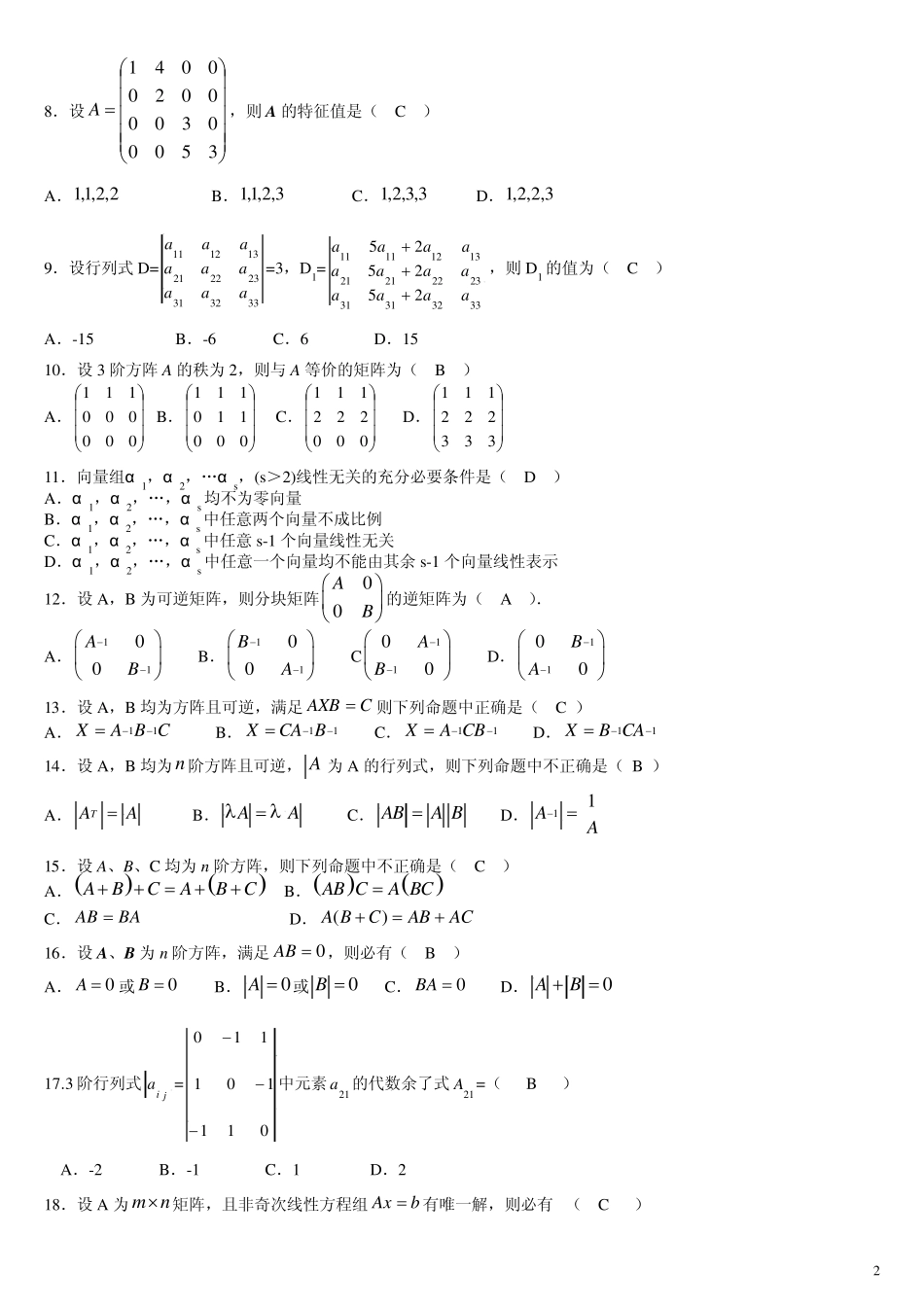
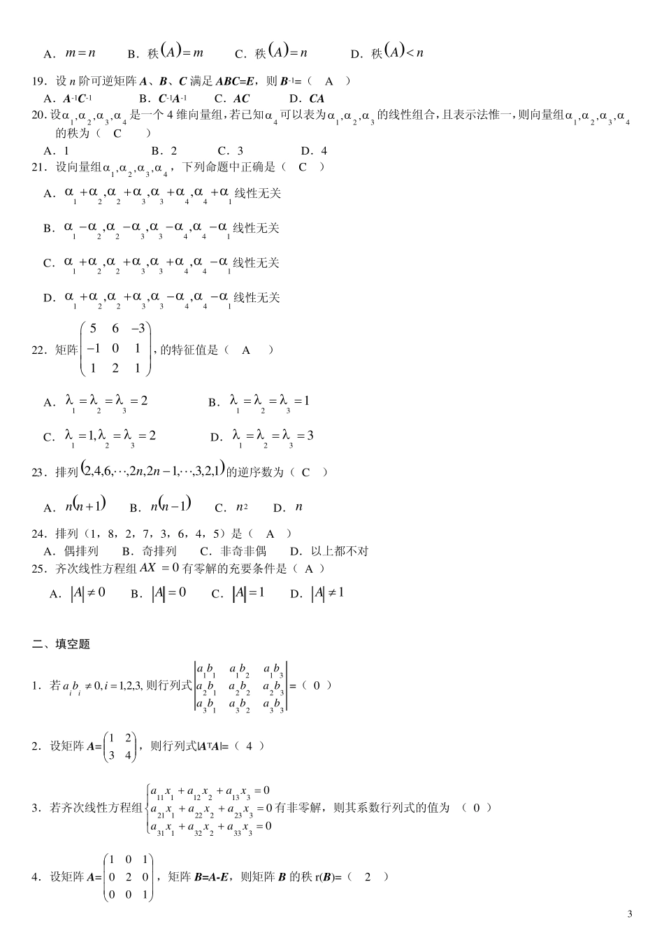
1 工程数学(线性代数)复习资料 一、矩阵和行列式 1、了解矩阵的相关概念;矩阵的加、减、数乘以矩阵和矩阵的乘法;会求逆矩阵; 2、了解行列式相关性质及利用行列式的性质进行运算; 3、理解 n 级排列的定义,会求排列的逆序数并判断是奇排列还是偶排列; 4、会利用克莱姆法则判断方程组的解并解方程。 二、向量空间 1、了解向量的相关概念;熟悉向量的运算; 2、理解向量组线性相关和线性无关的定义;并能判断向量组线性相关和线性无关; 3、了解向量组秩的概念并能求出其秩。 三、矩阵的秩与线性方程组 1、了解矩阵秩的概念并能利用矩阵的初等行变换求矩阵秩; 2、利用高斯消元法解线性方程组; 3、利用矩阵的秩来判断齐次解线性方程组和非齐次解线性方程组解的结构。 四、特征值与特征向量 1、熟悉特征值与特征向量的基本概念、性质及运算; 2、了解相似矩阵的概念、方阵可对角化的充要条件; 3、了解内积、正交向量组与正交矩阵的概念;能利用施密特正交化方法把向量组化成正交单位向量组。 附复习题 一、单项选择题 1.设A 为3 阶方阵,且|A|=2,则|2A-1|=( D ) A.-4 B.-1 C.1 D.4 2.设A 为任意n 阶矩阵,下列矩阵中为反对称矩阵的是( B ) A.A+AT B.A-AT C.AAT D.ATA 3.矩阵 0133的逆矩阵是( C ) A. 3310 B. 3130 C. 13110 D.01311 4.设行列式2211baba=1,2211caca=2,则222111cbacba=( D ) A.-3 B.-1 C.1 D.3 5.设矩阵A,B,C 为同阶方阵,则(ABC)T=( B ) A.ATBTCT B.CTBTAT C.CTATBT D.ATCTBT 6.设向量组α 1,α 2,…,α s 线性相关,则必可推出( D ) A.α 1,α 2,…,α s 中至少有一个向量为零向量 B.α 1,α 2,…,α s 中至少有两个向量成比例 C.α 1,α 2,…,α s 中至少有一个向量可以表示为其余向量的线性组合 D.α 1,α 2,…,α s 中每一个向量都可以表示为其余向量的线性组合 7.设A 为m× n 矩阵,则齐次线性方程组Ax=0 仅有零解的充分必要条件是( C ) A.A 的列向量组线性无关 B.A 的列向量组线性相关 C.A 的行向量组线性无关 D.A 的行向量组线性相关 2 8.设3500030000200041A,则A 的特征值是( C...

1、当您付费下载文档后,您只拥有了使用权限,并不意味着购买了版权,文档只能用于自身使用,不得用于其他商业用途(如 [转卖]进行直接盈利或[编辑后售卖]进行间接盈利)。
2、本站所有内容均由合作方或网友上传,本站不对文档的完整性、权威性及其观点立场正确性做任何保证或承诺!文档内容仅供研究参考,付费前请自行鉴别。
3、如文档内容存在违规,或者侵犯商业秘密、侵犯著作权等,请点击“违规举报”。

碎片内容

工程数学线性代数复习资料

您可能关注的文档

确认删除?
VIP
微信客服
  • 扫码咨询
会员Q群
  • 会员专属群点击这里加入QQ群
客服邮箱
回到顶部