电脑桌面
添加小米粒文库到电脑桌面
安装后可以在桌面快捷访问

新型农村合作医疗报销基本药物目录VIP免费

新型农村合作医疗报销基本药物目录_第1页
1/53
新型农村合作医疗报销基本药物目录_第2页
2/53
新型农村合作医疗报销基本药物目录_第3页
3/53
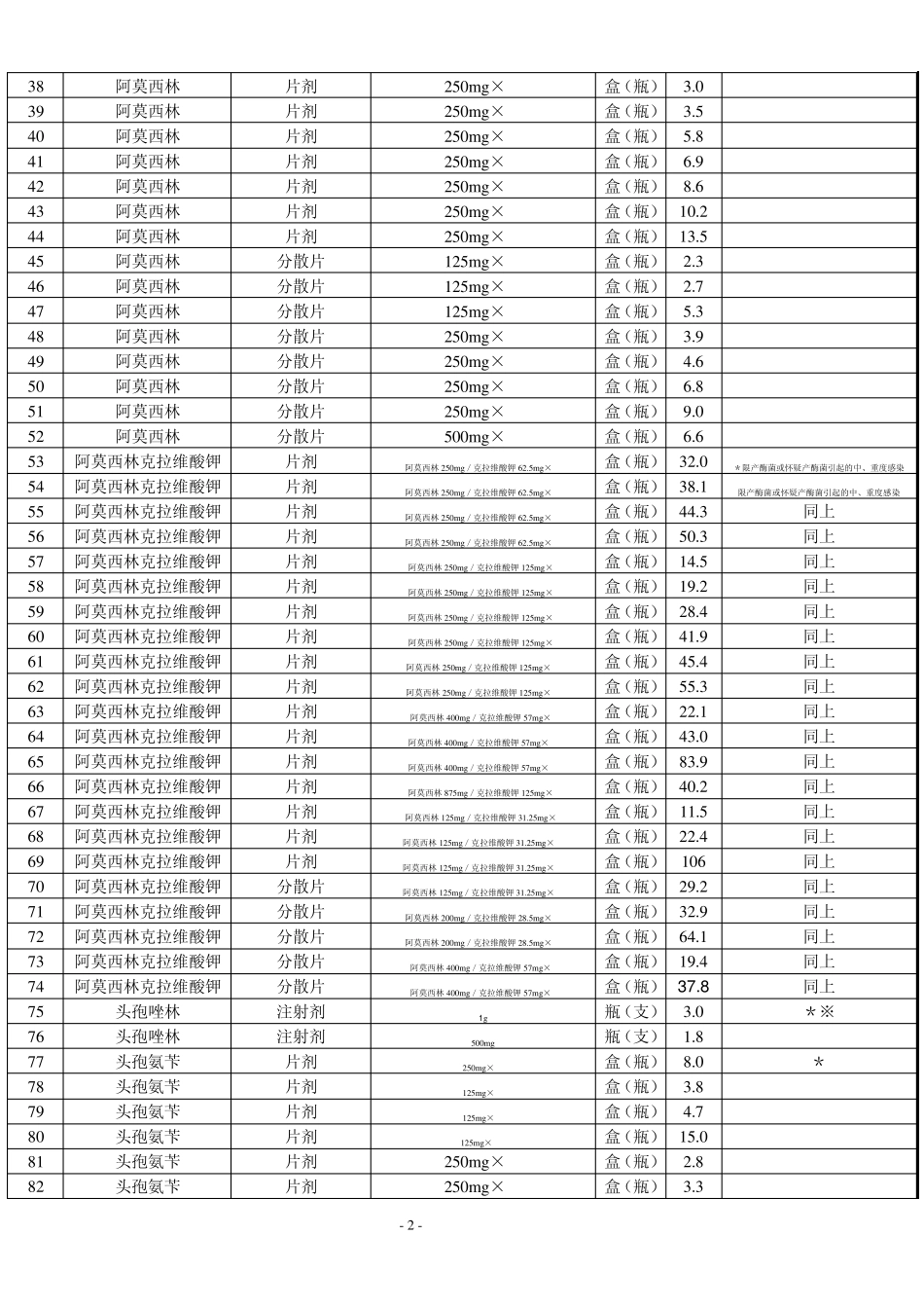
- 1 - 河南省新型农村合作医疗报销基本药物目录 (适用于省、市级定点医疗机构) 一、 国家基本药物零售指导价格表(化学药品和生物制品部分) 金额单位:元 编号 药品名称 剂型 规格 单位 价格 备注 1 青霉素 注射剂 80 万U 瓶(支) 0.92 * 2 青霉素 注射剂 160 万U 瓶(支) 1.60 3 青霉素 注射剂 400 万U 瓶(支) 3.20 4 青霉素 注射剂 800 万U 瓶(支) 5.4 5 苯唑西林 注射剂 500m g 瓶(支) 1.0 * 6 苯唑西林 注射剂 2g 瓶(支) 2.9 7 氨苄西林 注射剂 1g 瓶(支) 1.8 *※ 8 氨苄西林 注射剂 500m g 瓶(支) 1.1 9 氨苄西林 注射剂 1g(溶媒结晶酚) 瓶(支) 3.8 10 氨苄西林 注射剂 2g(溶媒结晶酚) 瓶(支) 5.1 11 哌拉西林 注射剂 2g,冻干粉(溶媒结晶酚) 瓶(支) 3.0 * 12 哌拉西林 注射剂 500m g,冻干粉(溶媒结晶酚) 瓶(支) 1.0 13 哌拉西林 注射剂 1g,冻干粉(溶媒结晶酚) 瓶(支) 1.8 14 哌拉西林 注射剂 4g,冻干粉(溶媒结晶酚) 瓶(支) 5.1 15 阿莫西林 胶囊 250m g×24 盒(瓶) 7.4 * 16 阿莫西林 胶囊 125m g×10 盒(瓶) 1.9 17 阿莫西林 胶囊 125m g×12 盒(瓶) 2.2 18 阿莫西林 胶囊 125m g×20 盒(瓶) 3.7 19 阿莫西林 胶囊 125m g×24 盒(瓶) 4.4 20 阿莫西林 胶囊 125m g×48 盒(瓶) 8.5 21 阿莫西林 胶囊 125m g×50 盒(瓶) 8.8 22 阿莫西林 胶囊 250m g×10 盒(瓶) 3.2 23 阿莫西林 胶囊 250m g×12 盒(瓶) 3.8 24 阿莫西林 胶囊 250m g×20 盒(瓶) 6.2 25 阿莫西林 胶囊 250m g×30 盒(瓶) 9.2 26 阿莫西林 胶囊 250m g×36 盒(瓶) 10.9 27 阿莫西林 胶囊 250m g×48 盒(瓶) 14.4 28 阿莫西林 胶囊 250m g×50 盒(瓶) 15.0 29 阿莫西林 胶囊 250m g×60 盒(瓶) 17.9 30 阿莫西林 胶囊 500m g×10 盒(瓶) 5.4 31 阿莫西林 胶囊 500m g×16 盒(瓶) 8.5 32 阿莫西林 胶囊 500m g×20 盒(瓶) 10.6 33 阿莫西林 片剂 125m g×6 盒(瓶) 1.1 34 阿莫西林 片剂 125m g×10 盒(瓶) 1.8 35 阿莫西林 片剂 125m g×12 盒(瓶) 2.1 36 阿莫西林 片剂 125m g×20 盒(瓶) 3.4 ...

1、当您付费下载文档后,您只拥有了使用权限,并不意味着购买了版权,文档只能用于自身使用,不得用于其他商业用途(如 [转卖]进行直接盈利或[编辑后售卖]进行间接盈利)。
2、本站所有内容均由合作方或网友上传,本站不对文档的完整性、权威性及其观点立场正确性做任何保证或承诺!文档内容仅供研究参考,付费前请自行鉴别。
3、如文档内容存在违规,或者侵犯商业秘密、侵犯著作权等,请点击“违规举报”。

碎片内容

新型农村合作医疗报销基本药物目录

确认删除?
VIP
微信客服
  • 扫码咨询
会员Q群
  • 会员专属群点击这里加入QQ群
客服邮箱
回到顶部