电脑桌面
添加小米粒文库到电脑桌面
安装后可以在桌面快捷访问

2009年山东省高考一批一志愿投档录取情况统计表VIP免费

2009年山东省高考一批一志愿投档录取情况统计表_第1页
1/8
2009年山东省高考一批一志愿投档录取情况统计表_第2页
2/8
2009年山东省高考一批一志愿投档录取情况统计表_第3页
3/8
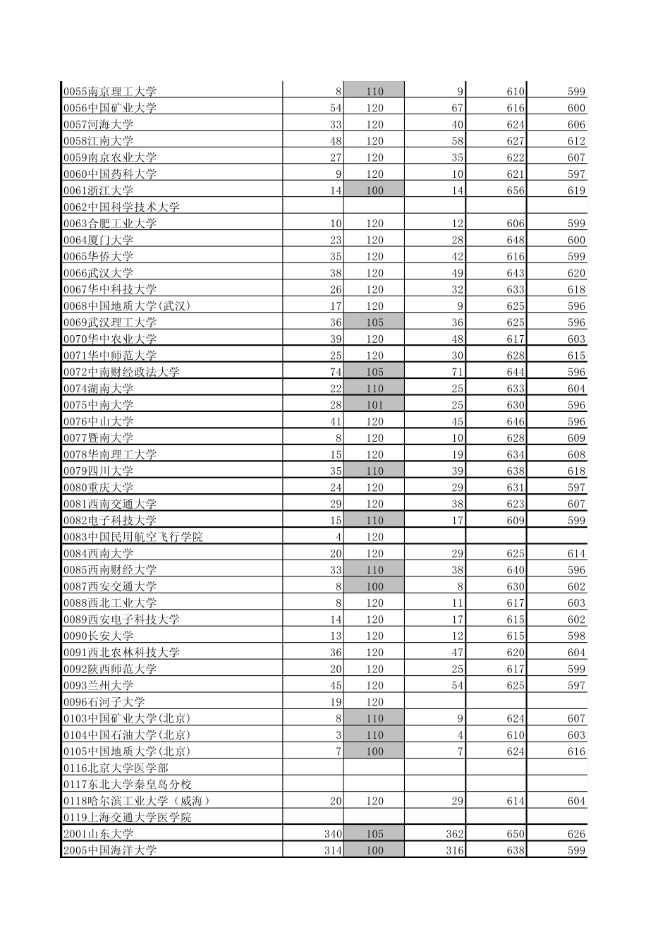
计划数投档比例投出数最高分最低分0001北京大学 24100257016600002中国人民大学 36120446596480003清华大学 312046756670004北京交通大学 610066396250005北京航空航天大学 10100106446280006北京理工大学 11120146315970007北京科技大学 19105206376120008北京化工大学 17100186386140009北京邮电大学 9110106376220011中国农业大学 1401201706325960012北京林业大学 18120236356220013北京中医药大学 712096216070014北京师范大学 24110276536300015北京外国语大学 10120126426100016北京语言大学 16110186426180017中国传媒大学 15120176436000018中央财经大学 19106246526410019对外经济贸易大学 34120426526000023北京体育大学 10120106295990027中央民族大学 28120346396140028中国政法大学 47120576516290029华北电力大学(北京) 13105146366190030南开大学 38120466546390031天津大学 410526255980032中国民航大学 712096246070033华北电力大学(保定) 9105126226000034大连理工大学 11120156246060035东北大学 23120286236120036大连海事大学 28120346356070038吉林大学 60110666406030039东北师范大学 43120546236010040哈尔滨工业大学 10110116246050041哈尔滨工程大学 13120166125960042东北林业大学 33120466155970043复旦大学 13120176596530044同济大学 18120226416180045上海交通大学 910096476320046华东理工大学 42120516306050047东华大学 0048华东师范大学 20120246356030049上海外国语大学 14120196556000050上海财经大学 8120136445970052南京大学 29100346536440053东南大学 15120186386080054南京航空航天大学 1310514625616院校文科0055南京理工大学 811096105990056中国矿业大学 54120676166000057河海大学 33120406246060058江南大学 48120586276120059南京农业大学 27120356226070060中国药科大学 9120106215970061浙江大学 14100146566190062中国科学技术大学 0063合肥工业大学 10120126065990064厦门大学 23120286486000065华侨大学 35120426165990066武汉大学 38120496436200067华中科技大学 26120326336180068中国地质大学(武汉) 1712096255960069武汉理工大学 36105366255960070华中农业大学 39120486176030071华中师范大学 25120306286150072中南财经政法大学 74105716445960074湖南大学 22110256336040075中南大学 28101256305960076中山大学...

1、当您付费下载文档后,您只拥有了使用权限,并不意味着购买了版权,文档只能用于自身使用,不得用于其他商业用途(如 [转卖]进行直接盈利或[编辑后售卖]进行间接盈利)。
2、本站所有内容均由合作方或网友上传,本站不对文档的完整性、权威性及其观点立场正确性做任何保证或承诺!文档内容仅供研究参考,付费前请自行鉴别。
3、如文档内容存在违规,或者侵犯商业秘密、侵犯著作权等,请点击“违规举报”。

碎片内容

2009年山东省高考一批一志愿投档录取情况统计表

小辰4+ 关注
实名认证
内容提供者

出售各种资料和文档

确认删除?
VIP
微信客服
  • 扫码咨询
会员Q群
  • 会员专属群点击这里加入QQ群
客服邮箱
回到顶部