电脑桌面
添加小米粒文库到电脑桌面
安装后可以在桌面快捷访问

二次根式测试题(A)(B)附答案VIP免费

二次根式测试题(A)(B)附答案_第1页
1/11
二次根式测试题(A)(B)附答案_第2页
2/11
二次根式测试题(A)(B)附答案_第3页
3/11
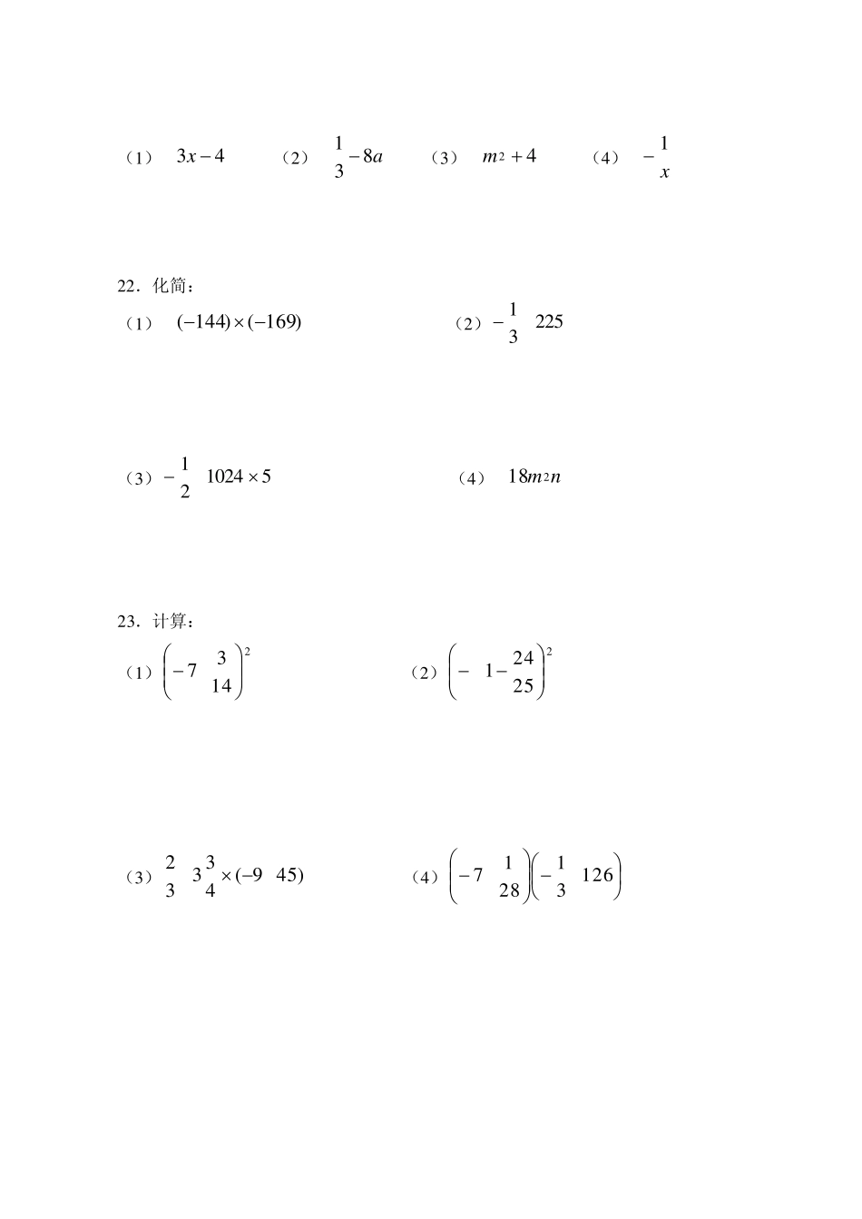
九年级数学第二十一章二次根式测试题(A) 时间:45分钟 分数:100分 一、选择题(每小题2 分,共20 分) 1. 下列式子一定是二次根式的是( ) A. 2 x B.x C. 22 x D. 22 x 2.若bb3)3(2,则( ) A.b>3 B.b<3 C.b≥3 D.b≤3 3.若 13m有意义,则m 能取的最小整数值是( ) A.m=0 B.m=1 C.m=2 D.m=3 4.若x<0,则xxx2的结果是( ) A.0 B.—2 C.0 或—2 D.2 5.(2005·岳阳)下列二次根式中属于最简二次根式的是( ) A.14 B.48 C.ba D. 44 a 6.如果)6(6xxxx,那么( ) A.x≥0 B.x≥6 C.0≤x≤6 D.x为一切实数 7.(2005·湖南长沙)小明的作业本上有以下四题: ①24416aa; ②aaa25105; ③aaaaa112; ④aaa23。做错的题是( ) A.① B.② C.③ D.④ 8.化简6151 的结果为( ) A.3011 B.33030 C.30330 D.1130 9.(2005·青海)若最简二次根式aa241 与的被开方数相同,则 a 的值为( ) A.43a B.34a C.a=1 D.a= —1 10.(2005·江西)化简)22(28得( ) A.—2 B.22  C.2 D. 224 二、填空题(每小题 2 分,共 20 分) 11.①2)3.0( ;②2)52( 。 12.二次根式31x有意义的条件是 。 13.若 m<0,则332||mmm= 。 14.1112 xxx成立的条件是 。 15.比较大小:32 13 。 16.yxy82 ,2712 。 17.计算3393aaaa= 。 18.23231与的关系是 。 19.若35 x,则562 xx的值为 。 20.化简1083114515的结果是 。 三、解答题(第 21~ 22 小题各 12 分,第 23 小题 24 分,共 48 分) 21.求使下列各式有意义的字母的取值范围: (1 ) 43x (2 ) a831  (3 ) 42 m (4 )x1 2 2 .化简: (1 ))1 6 9()1 4 4( (2 )22531 (3 )5102421 (4 ) nm21 8 2 3.计算: (1 )21 437 (2 )22 52 41 (3 ))4 59(43332 (4 )1 2 6312 817 (5)2484554 (6)2332326 四、综合题(每小题 6 分,共 12 分) 24.若代数式||112xx有意义,则 x 的取值范...

1、当您付费下载文档后,您只拥有了使用权限,并不意味着购买了版权,文档只能用于自身使用,不得用于其他商业用途(如 [转卖]进行直接盈利或[编辑后售卖]进行间接盈利)。
2、本站所有内容均由合作方或网友上传,本站不对文档的完整性、权威性及其观点立场正确性做任何保证或承诺!文档内容仅供研究参考,付费前请自行鉴别。
3、如文档内容存在违规,或者侵犯商业秘密、侵犯著作权等,请点击“违规举报”。

碎片内容

二次根式测试题(A)(B)附答案

您可能关注的文档

小辰5+ 关注
实名认证
内容提供者

出售各种资料和文档

相关文档

确认删除?
VIP
微信客服
  • 扫码咨询
会员Q群
  • 会员专属群点击这里加入QQ群
客服邮箱
回到顶部