电脑桌面
添加小米粒文库到电脑桌面
安装后可以在桌面快捷访问

1绝对值不等式课件VIP免费

1绝对值不等式课件1绝对值不等式课件1绝对值不等式课件1绝对值不等式课件1绝对值不等式课件
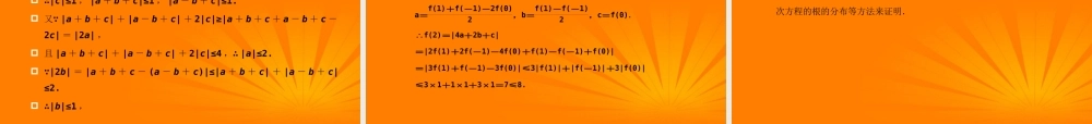
第 1 课时 绝对值不等式1 .理解绝对值的几何意义,并能利用含绝对值不等式的几何意义证明以下不等式:(1)|a + b|≤|a| + |b| ;(2)|a - b|≤|a - c| + |c - b|.2 .会利用绝对值的几何意义求解以下类型的不等式: |ax + b|≤c ; |ax + b|≥c ; |x - a| + |x - b|≥c.2011· 考纲下载1 .以选择题的形式考查绝对值不等式,同时与不等式的性质相结合.2 .以考查绝对值不等式的解法为主,兼顾考查集合的交、并、补运算 .请注意! 课前自助餐 课本导读 1 .绝对值三角不等式 定理 1. 如果 a , b 是实数,则 |a + b|≤|a| + |b| ,当且仅当 a , b 同号 时,等 号立. 定理 2. 如果 a , b , c 是实数,那么 ||a| - |b||≤|a + b| ,当且仅当a , b 异号时,等号成立.2 .绝对值不等式的解法(1) 含绝对值的不等式 |x|a 的解集(2)|ax + b|≤c(c>0) 和 |ax + b|≥c(c>0) 型不等式的解法①|ax + b|≤c⇔ - c≤ax + b≤c ;②|ax + b|≥c⇔ax + b≥c 或 ax + b≤ - c.(3)|x - a| + |x + b|≥c(c>0) 和 |x - a| + |x - b|≤c(c>0) 型不等式的解法 方法一:利用绝对值不等式的几何意义求解,体现了数形结合的思想.“”方法二:利用 零点分段法 求解,体现了分类讨论的思想; 方法三:通过构造函数,利用函数的图象求解,体现了函数与方程的思想.1.不等式|x|·(1-2x)>0的解集是( ) A.(-∞,12) B.(-∞,0)∪(0,12) C.(12,+∞) D.(0,12) 教材回归 答案B 2 .若 a , b , c∈R ,且满足 |a - c|c; ②b + c>a ; ③a + c>b; ④|a| + |b|>|c|. 其中错误的个数 ( ) A . 1 B . 2 C . 3 D . 4 答案A解析  a-c>-ba-ccb+c>a, ∴①、②都正确,③不正确. 又|a-c|=|c-a|≥|c|-|a|, ∴|c|-|a||c|. ④正确.  3 .若关于 x 的不等式 |x + 2| + |x - 1|

1、当您付费下载文档后,您只拥有了使用权限,并不意味着购买了版权,文档只能用于自身使用,不得用于其他商业用途(如 [转卖]进行直接盈利或[编辑后售卖]进行间接盈利)。
2、本站所有内容均由合作方或网友上传,本站不对文档的完整性、权威性及其观点立场正确性做任何保证或承诺!文档内容仅供研究参考,付费前请自行鉴别。
3、如文档内容存在违规,或者侵犯商业秘密、侵犯著作权等,请点击“违规举报”。

碎片内容

1绝对值不等式课件

您可能关注的文档

黄金书屋+ 关注
实名认证
内容提供者

爱好英语教学和互联网行业,热爱教育事业,兢兢业业

相关文档

确认删除?
微信客服
  • 扫码咨询
会员Q群
  • 会员专属群点击这里加入QQ群