电脑桌面
添加小米粒文库到电脑桌面
安装后可以在桌面快捷访问

多层砖混结构材料明细VIP免费

多层砖混结构材料明细_第1页
1/14
多层砖混结构材料明细_第2页
2/14
多层砖混结构材料明细_第3页
3/14
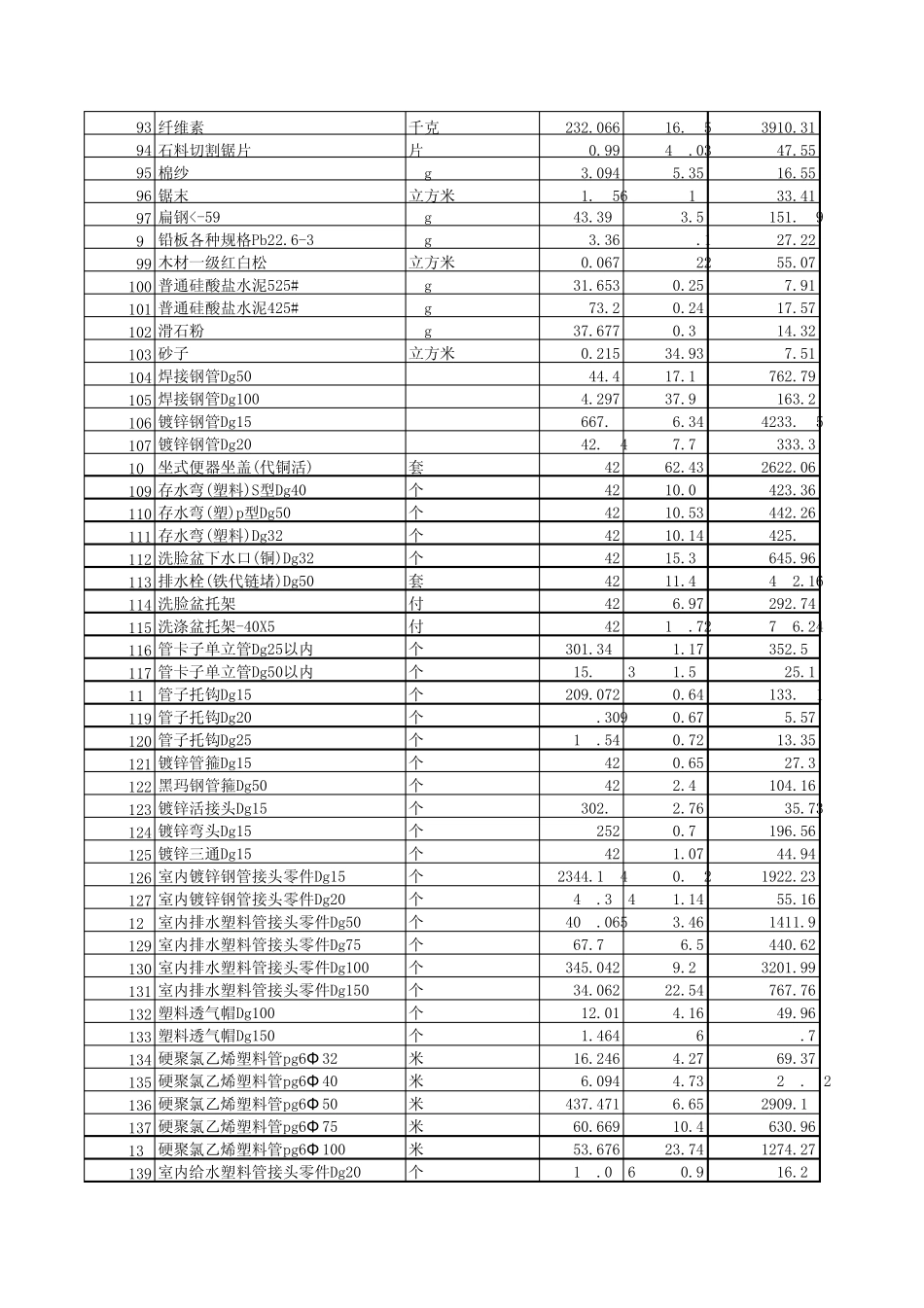
序号名称单位数量 定额单价定额合价1 #425水泥t323.31624077595.842 #325水泥t294.505230.1567780.333 门窗材立方米22.6941573.4535707.874 模板材立方米45.292975.7644194.125 装饰材立方米1.11322.641454.96 木脚手杆立方米5.4196003251.47木脚手板立方米5.1031242.056338.188三合板平方米1031.1614.4214869.339≤Φ 10钢筋t32.5473490113589.0310 〉Φ 10钢筋t79.4983420271883.1611 方钢t1.74135406163.1412 #26镀锌铁皮平方米1.1719.3122.5913 焊接铁件kg325.0994.271388.1714 脚手架钢管kg958.7554.524333.5715 Φ 10以上2-级钢筋t3.3373567.2811904.0116 铸铁弯头个12.1235.12425.6517铸铁蓖子个12.1281.26984.8718单层钢窗(含附件)平方米5.19571.01368.919玻璃3mm平方米113.1679.181038.8720 #10石油沥青kg8057.7020.594754.0421 石油沥青油毡平方米2578.621.874822.0222 汽油kg492.05431476.1623 红(青)砖千块731.267128.7794165.2524 中砂立方米2053.13734.9371716.0825 石灰t25.69994.82436.2726 石灰t34.35794.83257.0427中砂立方米297.26434.9310383.4328粒砂立方米3.97263.15250.8329粘土立方米12.4999.51118.8730 <1.5cm石子立方米10.71929.51316.3231 <2cm石子立方米421.61430.6212909.8232 <3cm石子立方米134.61730.364086.9733 <4cm石子立方米382.68229.9411457.534 地瓜石立方米90.12128.812596.3935 波形面砖(上海)平方米534.88817.039109.1436 白瓷砖平方米102.923.442411.9837塑料落水管m263.02510.422740.7238塑料落水卡个165.3064.37722.3939塑料水斗个12.2436.65448.640 珍珠岩立方米45.79388.784065.541 电焊条kg195.8087.041378.4942 防锈漆kg13.86110.08139.7243 油灰kg83.4240.9579.2544 滑石粉kg2805.8910.381066.2445 106涂料kg726.8450.71516.0646107涂料kg119.4031.78212.5447石膏粉kg51.1040.3919.9348防水粉kg46.2420.7233.2949防腐油kg81.1980.5343.0350 皮胶kg34.6687.4256.5451 107胶kg309.0551.78550.1252 纤维素kg11.42916.85192.5853 木螺丝百个11.6431.4817.2354装修铁钉kg48.6363.53171.6955 模板铁钉kg1036.8523.733867.4656门锁把240.1787.241738.8957 #8镀锌铁丝kg2114.1433.347061.2458 #22镀锌铁丝kg520.3063.882018.7959工具式钢模板kg4357.0833.615685.560直角扣件个101.9625.1520.0161回转扣件个7.5095.138.362对角扣件个23.7125.1120.9363底座扣...

1、当您付费下载文档后,您只拥有了使用权限,并不意味着购买了版权,文档只能用于自身使用,不得用于其他商业用途(如 [转卖]进行直接盈利或[编辑后售卖]进行间接盈利)。
2、本站所有内容均由合作方或网友上传,本站不对文档的完整性、权威性及其观点立场正确性做任何保证或承诺!文档内容仅供研究参考,付费前请自行鉴别。
3、如文档内容存在违规,或者侵犯商业秘密、侵犯著作权等,请点击“违规举报”。

碎片内容

多层砖混结构材料明细

您可能关注的文档

确认删除?
VIP
微信客服
  • 扫码咨询
会员Q群
  • 会员专属群点击这里加入QQ群
客服邮箱
回到顶部