电脑桌面
添加小米粒文库到电脑桌面
安装后可以在桌面快捷访问

大一第一学期期末高等数学(上)试题及答案VIP免费

大一第一学期期末高等数学(上)试题及答案_第1页
1/8
大一第一学期期末高等数学(上)试题及答案_第2页
2/8
大一第一学期期末高等数学(上)试题及答案_第3页
3/8
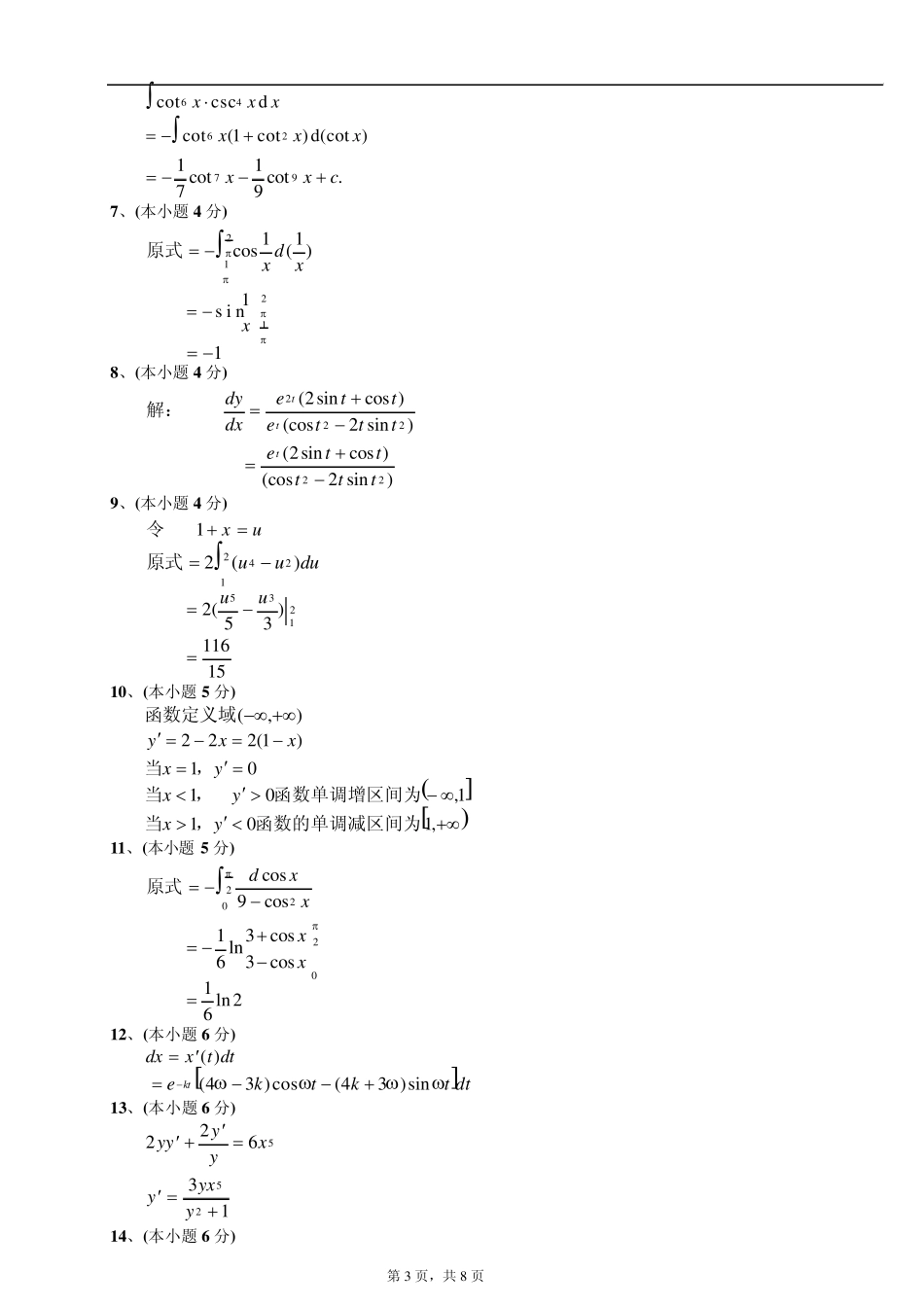
第1 页,共8 页 第一学期期末高等数学试卷 一、解答下列各题 (本大题共1 6 小题,总计8 0 分) 1 、(本小题5 分) 求极限 limxxxxxx2332121629124 2 、(本小题5 分) .d)1(22xxx求 3 、(本小题5 分) 求极限limarctanarcsinxxx1 4 、(本小题5 分) .d1xxx求 5 、(本小题5 分) .求dttdxdx2021 6 、(本小题5 分) .dcsccot46xxx求 7 、(本小题5 分) .求 2121cos1dxxx 8 、(本小题5 分) 设确定了函数求.xetyetyy xdydxttcossin( ),22 9 、(本小题5 分) .求dxxx301 1 0、(本小题5 分) 求函数 的单调区间yxx422 11 、(本小题5 分) .求202sin8sindxxx 1 2、(本小题5 分) .,求设 dxttetxkt)sin4cos3()(  1 3、(本小题5 分) 设函数 由方程所确定 求.yy xyyxdydx( )ln,226 1 4 、(本小题5 分) 求函数的极值yeexx2 15 、(本小题5 分) 求极限lim ()()()()()()xxxxxxx12131101101 1112222 1 6 、(本小题5 分) .dcossin12cosxxxx求 第2 页,共8 页 二、解答下列各题 (本大题共2 小题,总计1 4 分) 1 、(本小题7 分) ,,512沿一边可用原来的石条围平方米的矩形的晒谷场某农场需建一个面积为.,,才能使材料最省多少时问晒谷场的长和宽各为另三边需砌新石条围沿 2 、(本小题7 分) .8232体积轴旋转所得的旋转体的所围成的平面图形绕和求由曲线oxxyxy 三、解答下列各题 ( 本 大 题6 分 ) 设证明有且仅有三个实根f xx xxxfx( )()()(),( ).1230 一学期期末高数考试(答案) 一、解答下列各题 (本大题共1 6 小题,总计7 7 分) 1 、(本小题3 分) 解原式:limxxxx22231261812 limxxx261218  2 2 、(本小题3 分) xxxd)1(22 222)1()1d(21xx  12112xc. 3 、(本小题3 分) 因为arctan x  2 而 limarcsinxx10 故 limarctanarcsinxxx10 4 、(本小题3 分) xxxd1 xxxd111 xxx1dd   xxcln.1 5 、(本小题3 分) 原式214xx 6 、(本小题4 分) 第3 页,共8 页 xxxdcsccot46 )d(cot)cot1(cot26xxx  171979cotcot.xxc 7 、(本小题4...

1、当您付费下载文档后,您只拥有了使用权限,并不意味着购买了版权,文档只能用于自身使用,不得用于其他商业用途(如 [转卖]进行直接盈利或[编辑后售卖]进行间接盈利)。
2、本站所有内容均由合作方或网友上传,本站不对文档的完整性、权威性及其观点立场正确性做任何保证或承诺!文档内容仅供研究参考,付费前请自行鉴别。
3、如文档内容存在违规,或者侵犯商业秘密、侵犯著作权等,请点击“违规举报”。

碎片内容

大一第一学期期末高等数学(上)试题及答案

小辰+ 关注
实名认证
内容提供者

出售各种文档和资料

确认删除?
VIP
微信客服
  • 扫码咨询
会员Q群
  • 会员专属群点击这里加入QQ群
客服邮箱
回到顶部