电脑桌面
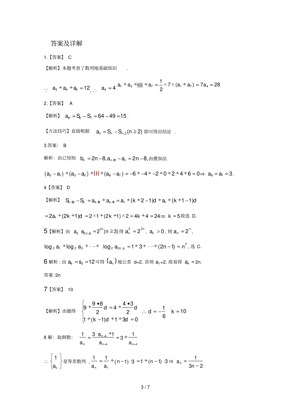
添加小米粒文库到电脑桌面
安装后可以在桌面快捷访问

数列通项公式解法总结试卷附详解答案VIP免费

数列通项公式解法总结试卷附详解答案_第1页
1/7
数列通项公式解法总结试卷附详解答案_第2页
2/7
数列通项公式解法总结试卷附详解答案_第3页
3/7
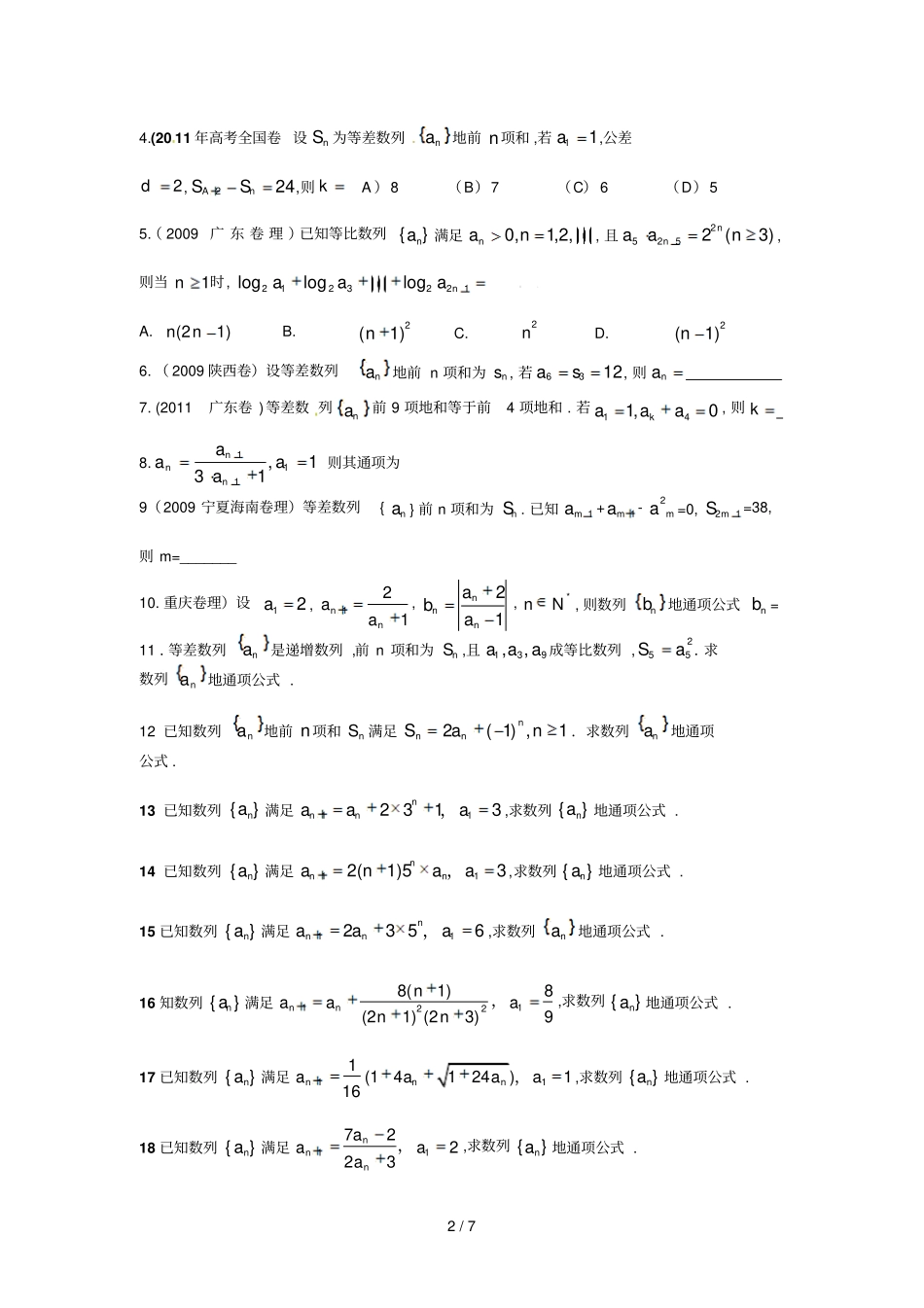
1 / 7 数列通项公式解法总结及习题训练(附答案)1. 定义法 :①等差数列通项公式;②等比数列通项公式. 2.公式法 :已知nS (即12( )naaaf n )求na ,用作差法:11,(1),(2)nnnSnaSSn. 3. 作商法: 已知12( )na aaf n 求na ,用作商法:(1),(1)( ),(2)(1)nfnf nanf n. 4. 累加法 :若1( )nnaaf n 求na :11221()()()nnnnnaaaaaaa1a (2)n.5. 累乘法: 已知1( )nnaf na求na ,用累乘法:121121nnnnnaaaaaaaa(2)n. 6. 已知递推关系求na ,用构造法(构造等差、等比数列). 1)递推公式为nnnqapaa12(其中 p,q 均为常数) .先把原递推公式转化为)(112nnnnsaatsaa其中 s,t 满足qstpts2)形如11nnnaakab地递推数列都可以用倒数法求通项. 7. 数学归纳法先根据已知条件结合具体形式进行合理地猜想, 然后证明 .8. 换元法换元地目地是简化形式 , 以便于求解 .9、不动点法对于某些特定形式地数列递推式可用不动点法来求10 定系数法适用于1( )nnaqaf n解题基本步骤:1、确定( )f n2、设等比数列1 ( )naf n,公比为?3、列出关系式)]([)1(1211nfanfann4、比较系数求1,25、解得数列1 ( )naf n地通项公式6、解得数列na地通项公式习题1. ( 2010 全国卷 2)(6) 如果等差数列na中,3a +4a +5a =12, 那么1a +2a +?⋯+7a = ( A)14 (B) 21 (C) 28 (D) 35 2. ( 2010 安徽) (5) 设数列 {}na地前 n 项和2nSn , 则8a 地值为(A) 15 (B) 16 (C) 49 (D)64 3. (2011年高考四川 ) 数列na地首项为 3 ,nb为等差数列且1(*)nnnbaa nN.若则32b,1012b,则8a( ) A)0 (B)3 (C) 8 (D)11 2 / 7 4.(20 11 年高考全国卷 设nS 为等差数列na地前 n项和 ,若11a,公差2d,224AnSS,则 kA )8 (B)7 (C) 6 (D)5 5.( 2009 广 东 卷 理 )已知等比数列 {}na满足0,1,2,nan, 且25252 (3)nnaan,则当1n时,2123221logloglognaaaA. (21)nn B. 2(1)n C. 2n D. 2(1)n6. ( 2009 陕西卷)设等差数列na地前 n 项和为ns , 若6312as, 则na7. (2011广东卷 )等差数 列na前 9 项地和等于前4 项地和 . 若141,0kaaa, 则 k8.1,13111aaaannn则其通项为9(2009 宁夏海南卷理)等差数列{na } 前 n 项和为nS . 已知1ma+1ma-2ma=0,21mS=38,则 m=_______10. 重庆卷理)设12a,121nnaa,21nnnaba,*nN , 则数列nb地通项公式nb...

1、当您付费下载文档后,您只拥有了使用权限,并不意味着购买了版权,文档只能用于自身使用,不得用于其他商业用途(如 [转卖]进行直接盈利或[编辑后售卖]进行间接盈利)。
2、本站所有内容均由合作方或网友上传,本站不对文档的完整性、权威性及其观点立场正确性做任何保证或承诺!文档内容仅供研究参考,付费前请自行鉴别。
3、如文档内容存在违规,或者侵犯商业秘密、侵犯著作权等,请点击“违规举报”。

碎片内容

数列通项公式解法总结试卷附详解答案

文库响当当+ 关注
实名认证
内容提供者

该用户很懒,什么也没介绍

确认删除?
VIP
微信客服
  • 扫码咨询
会员Q群
  • 会员专属群点击这里加入QQ群
客服邮箱
回到顶部