电脑桌面
添加小米粒文库到电脑桌面
安装后可以在桌面快捷访问

数列难题训练VIP免费

数列难题训练_第1页
1/10
数列难题训练_第2页
2/10
数列难题训练_第3页
3/10
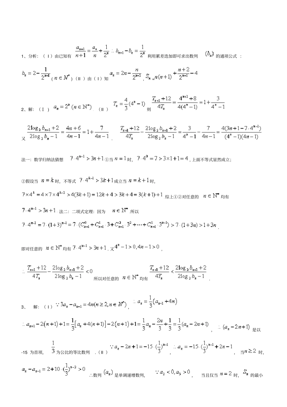
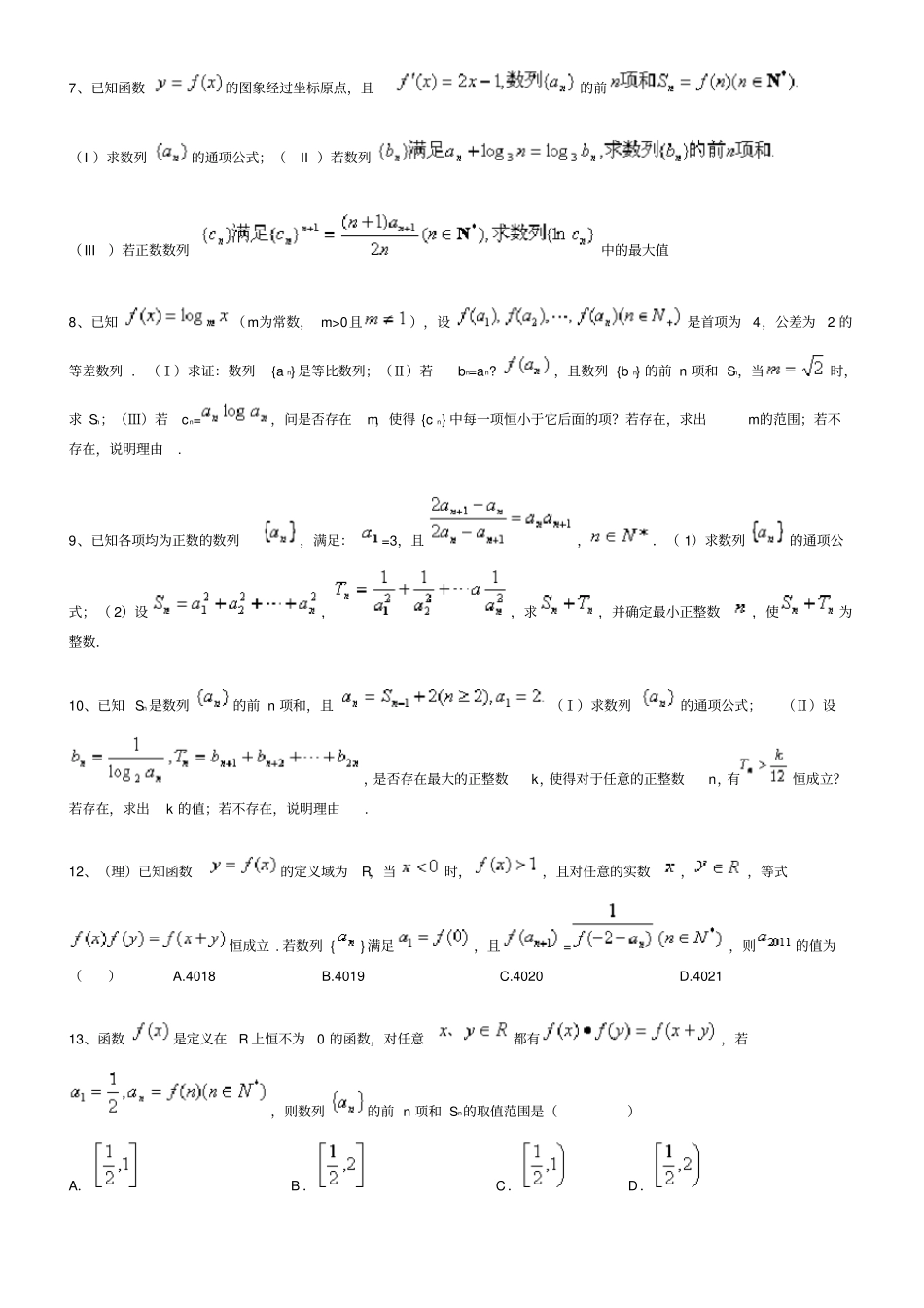
数列难题训练1、在数列中,(I )设,求数列的通项公式 (II )求数列的前项和2、(满分12 分)已知各项均为正数的数列满足, 且, 其中.(I )求数列的通项公式 ;(II )设 数列的前项和为, 令, 其中, 试比较与的大小 , 并证明.3、(本小题满分14 分)在数列中,,. (I )求证:数列是等比数列;(II )设数列的前项和为,求的最小值 . 4、已知数列(1)证明数列为等差数列,并求的通项公式;2)设,求数列的前项和。5、(本题满分14 分)对于函数,若存在成立,则称的不动点 .如果函数有且只有两个不动点0,2,且(1)求函数的解析式;( 2)已知各项不为零的数列,求数列通项;(3)如果数列满足,求证:当时,恒有成立 . 6、(本小题满分14 分)设函数,方程有唯一解,其中实数为常数,,(1)求的表达式;( 2)求的值;( 3)若且,求证:7、已知函数的图象经过坐标原点,且的前(I )求数列的通项公式;(II )若数列(III)若正数数列中的最大值8、已知(m为常数, m>0且),设是首项为4,公差为2 的等差数列 . (Ⅰ)求证:数列{a n} 是等比数列;(Ⅱ)若bn=an?,且数列 {b n} 的前 n 项和 Sn,当时,求 Sn;(Ⅲ)若cn=,问是否存在m,使得 {c n} 中每一项恒小于它后面的项?若存在,求出m的范围;若不存在,说明理由. 9、已知各项均为正数的数列,满足:=3,且,.( 1)求数列的通项公式;( 2)设,,求,并确定最小正整数,使为整数.10、已知 Sn 是数列的前 n 项和,且(Ⅰ)求数列的通项公式;(Ⅱ)设,是否存在最大的正整数k,使得对于任意的正整数n,有恒成立?若存在,求出k 的值;若不存在,说明理由. 12、(理)已知函数的定义域为R,当时,,且对任意的实数,,等式恒成立 . 若数列 {} 满足,且=,则的值为() A.4018 B.4019 C.4020 D.4021 13、函数是定义在R 上恒不为0 的函数,对任意都有,若,则数列的前 n 项和 Sn的取值范围是()A. B . C. D.1、分析:( I )由已知有利用累差迭加即可求出数列的通项公式 : () (II )由( I )知,=2、解:(Ⅰ ). (II )则又. 法一:数学归纳法猜想①当时,, 上面不等式显然成立;②假设当时,不等式成立当时,.综上①②对任意的均有⋯法二:二项式定理:因为,所以. 即对任意的均有. 又, 所以对任意的均有. 3、解:( I ),,是以-15 为首项,为公比的等比数列.(II ),...

1、当您付费下载文档后,您只拥有了使用权限,并不意味着购买了版权,文档只能用于自身使用,不得用于其他商业用途(如 [转卖]进行直接盈利或[编辑后售卖]进行间接盈利)。
2、本站所有内容均由合作方或网友上传,本站不对文档的完整性、权威性及其观点立场正确性做任何保证或承诺!文档内容仅供研究参考,付费前请自行鉴别。
3、如文档内容存在违规,或者侵犯商业秘密、侵犯著作权等,请点击“违规举报”。

碎片内容

数列难题训练

文库响当当+ 关注
实名认证
内容提供者

该用户很懒,什么也没介绍

确认删除?
VIP
微信客服
  • 扫码咨询
会员Q群
  • 会员专属群点击这里加入QQ群
客服邮箱
回到顶部