电脑桌面
添加小米粒文库到电脑桌面
安装后可以在桌面快捷访问

滚动轴承轴系的组合结构设计VIP免费

滚动轴承轴系的组合结构设计_第1页
1/9
滚动轴承轴系的组合结构设计_第2页
2/9
滚动轴承轴系的组合结构设计_第3页
3/9
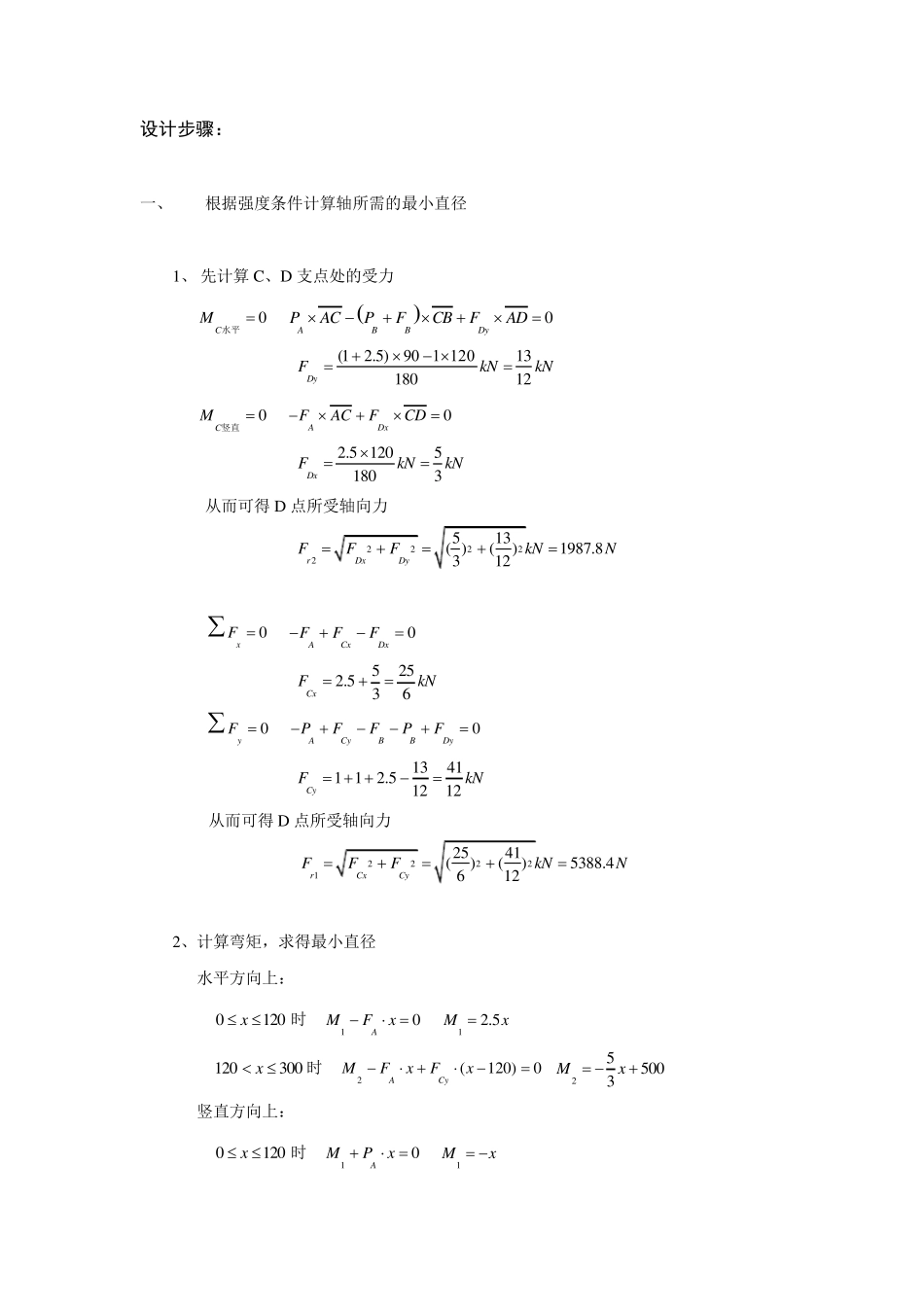
Harbin Institu te of Technology 设计说明书 设计课题: 滚动轴承,轴系的组合结构设计 课程名称: 机械学基础 * 名: ** 学 号: ********** 班 级: 0 9 3 6 1 0 4 院 系: 英才学院自动化 设计要求: 一钢制圆轴,装有两胶带轮A 和B,两轮有相同的直径D=360mm,重量为P=1kN,A轮上胶带的张力是水平方向的,B 轮胶带的张力是垂直方向的,它们的大小如下图所示。设圆轴的许用应力[σ]=80MPa,轴的转速 n=960r/min,带轮宽 b=60mm,寿命为50000 小时。 1). 按强度条件求轴所需的最小直径 2). 选择轴承型号(按受力条件及寿命要求) 3). 按双支点单向固定的方法,设计轴承与轴的组合装配结构,画出装配图(3 号图纸) 4). 从装配图中拆出轴,并画出轴的零件图(3 号图纸) 2kN0.5kN2kN0.5kNABCD1209090 设计步骤: 一、 根据强度条件计算轴所需的最小直径 1、 先计算 C、D 支点处的受力 0CM水平 0ABBDyPACPFCBFAD (12.5)1318012DyFkNkN  0CM竖直 0ADxFACFCD 2.5 12051803DxFkNkN 从而可得 D 点所受轴向力 22222513( )()1987.8312rDxDyFFFkNN 0xF  0ACxDxFFF 5252.536CxFkN 0yF  0ACyBBDyPFFPF 13411 12.51212CyFkN   从而可得 D 点所受轴向力 222212541()()5388.4612rCxCyFFFkNN 2、计算弯矩,求得最小直径 水平方向上: 0120x时 10AMFx 12.5Mx 120300x时 2(120)0ACyMFxFx 255003Mx  竖直方向上: 0120x时 10AMPx 1Mx  120210x时 2(120)ACyMPx Fx 22941012Mx 210300x时 3(120)() (120)0ACyBBMPx FxFPx 31332512Mx  2kN0.5kN2kN0.5kNABCDFaPaFcyFcxFbPbFdyFdx水平方向:竖直方向:300 Nm120 Nm97.5 Nm 由弯矩图判断可得:C 点为危险点,故可得: 22300120323.11CMN m 33360(20.5) 10102702TN m 2222332323.11270[ ]CMTMd   解得 22332323.1127037.7[ ]dmm  所以,最小直径为37.7m m 。 二、轴材料的确定 根据已知条件的[σ]=80MPa,为对称循环应力状态下的许用弯曲力,确定材料为合金钢。以上最小直径是按弯曲扭转组...

1、当您付费下载文档后,您只拥有了使用权限,并不意味着购买了版权,文档只能用于自身使用,不得用于其他商业用途(如 [转卖]进行直接盈利或[编辑后售卖]进行间接盈利)。
2、本站所有内容均由合作方或网友上传,本站不对文档的完整性、权威性及其观点立场正确性做任何保证或承诺!文档内容仅供研究参考,付费前请自行鉴别。
3、如文档内容存在违规,或者侵犯商业秘密、侵犯著作权等,请点击“违规举报”。

碎片内容

滚动轴承轴系的组合结构设计

您可能关注的文档

确认删除?
VIP
微信客服
  • 扫码咨询
会员Q群
  • 会员专属群点击这里加入QQ群
客服邮箱
回到顶部