电脑桌面
添加小米粒文库到电脑桌面
安装后可以在桌面快捷访问

经纬度生成KML文件VIP免费

经纬度生成KML文件_第1页
1/15
经纬度生成KML文件_第2页
2/15
经纬度生成KML文件_第3页
3/15
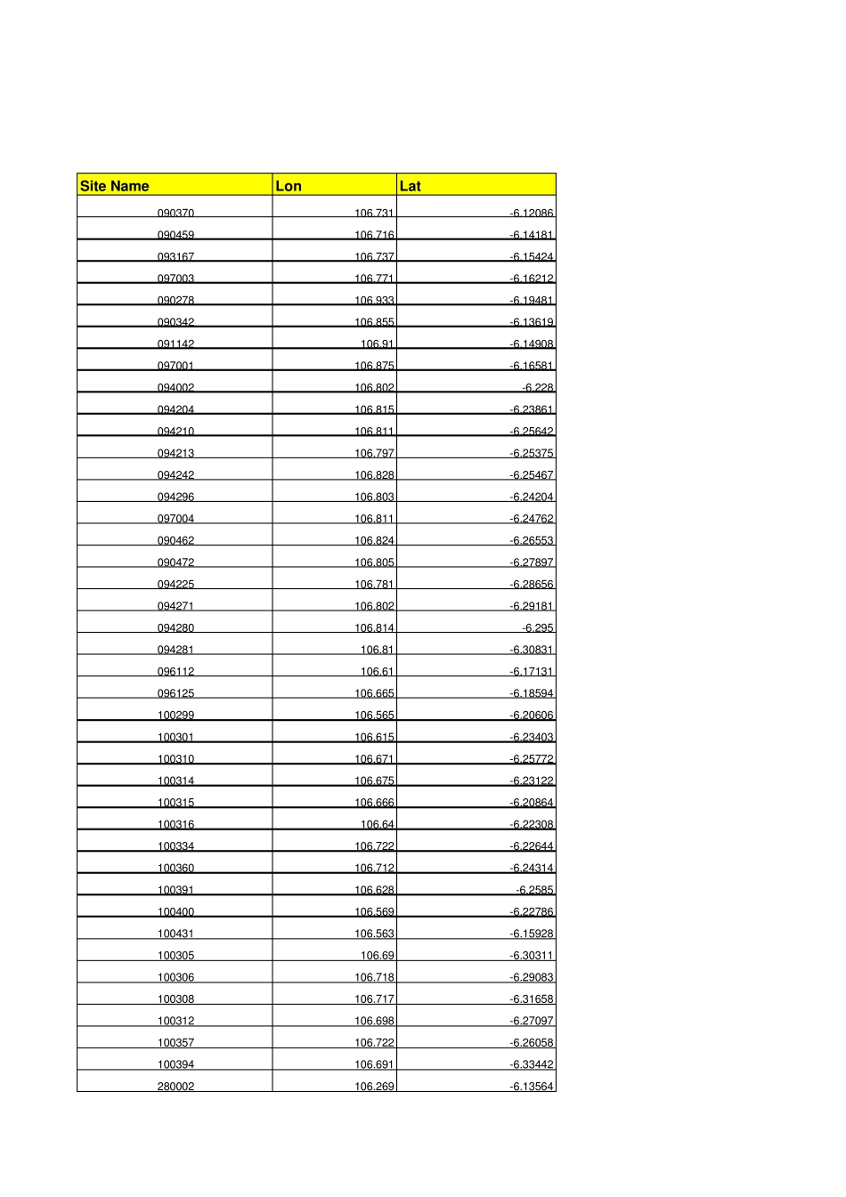
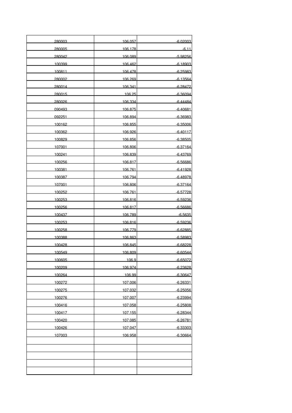
Site NameLonLat0 9 0 3 7 01 0 6 .7 3 1-6 .1 2 0 8 60 9 0 4 5 91 0 6 .7 1 6-6 .1 4 1 8 10 9 3 1 6 71 0 6 .7 3 7-6 .1 5 4 2 40 9 7 0 0 31 0 6 .7 7 1-6 .1 6 2 1 20 9 0 2 7 81 0 6 .9 3 3-6 .1 9 4 8 10 9 0 3 4 21 0 6 .8 5 5-6 .1 3 6 1 90 9 1 1 4 21 0 6 .9 1-6 .1 4 9 0 80 9 7 0 0 11 0 6 .8 7 5-6 .1 6 5 8 10 9 4 0 0 21 0 6 .8 0 2-6 .2 2 80 9 4 2 0 41 0 6 .8 1 5-6 .2 3 8 6 10 9 4 2 1 01 0 6 .8 1 1-6 .2 5 6 4 20 9 4 2 1 31 0 6 .7 9 7-6 .2 5 3 7 50 9 4 2 4 21 0 6 .8 2 8-6 .2 5 4 6 70 9 4 2 9 61 0 6 .8 0 3-6 .2 4 2 0 40 9 7 0 0 41 0 6 .8 1 1-6 .2 4 7 6 20 9 0 4 6 21 0 6 .8 2 4-6 .2 6 5 5 30 9 0 4 7 21 0 6 .8 0 5-6 .2 7 8 9 70 9 4 2 2 51 0 6 .7 8 1-6 .2 8 6 5 60 9 4 2 7 11 0 6 .8 0 2-6 .2 9 1 8 10 9 4 2 8 01 0 6 .8 1 4-6 .2 9 50 9 4 2 8 11 0 6 .8 1-6 .3 0 8 3 10 9 6 1 1 21 0 6 .6 1-6 .1 7 1 3 10 9 6 1 2 51 0 6 .6 6 5-6 .1 8 5 9 41 0 0 2 9 91 0 6 .5 6 5-6 .2 0 6 0 61 0 0 3 0 11 0 6 .6 1 5-6 .2 3 4 0 31 0 0 3 1 01 0 6 .6 7 1-6 .2 5 7 7 21 0 0 3 1 41 0 6 .6 7 5-6 .2 3 1 2 21 0 0 3 1 51 0 6 .6 6 6-6 .2 0 8 6 41 0 0 3 1 61 0 6 .6 4-6 .2 2 3 0 81 0 0 3 3 41 0 6 .7 2 2-6 .2 2 6 4 41 0 0 3 6 01 0 6 .7 1 2-6 .2 4 3 1 41 0 0 3 9 11 0 6 .6 2 8-6 .2 5 8 51 0 0 4 0 01 0 6 .5 6 9-6 .2 2 7 8 61 0 0 4 3 11 0 6 .5 6 3-6 .1 5 9 2 81 0 0 3 0 51 0 6 .6 9-6 .3 0 3 1 11 0 0 3 0 61 0 6 .7 1 8-6 .2 9 0 8 31 0 0 3 0 81 0 6 .7 1 7-6 .3 1 6 5 81 0 0 3 1 21 0 6 .6 9 8-6 .2 7 0 9 71 0 0 3 5 71 0 6 .7 2 2-6 .2 6 0 5 81 0 0 3 9 41 0 6 .6 9 1-6 .3 3 4 4 22 8 0 0 0 21 0 6 .2 6 9-6 .1 3 5 6 42 8 0 0 0 31 0 6 .0 5 7-6 .0 2 0 0 32 8 0 0 0 51 0 6 .1 7 8-6 .1 12 8 0 0 4 21 0 6 .0 8 9-5 .9 8 2 5 61 0 0 3 9 91 0 6 .4 6 2-6 .1 8 9 0 31 0 0 8 1 11 0 6 .4 7 8-6 .2 5 9 8 32 8 0 0 0 21 0 6 .2 6 9-6 .1 3 5 6 42 8 0 0 1 41 0 6 .3 4 1-6 .2 8 4 7 22 8 0 0 1 51 0 6 .2 5-6 .3 6 0 9 42 8 0 0 2 61 0 6 .3 3 4-6 .4 4 4 8 40 9 0 4 9 31 0 6 .8 7 5-6 .4 0 6 8 10 9 2 2 5 11 0 6 .8 9 4-6 .3 6 9 8 31 0 0 1 6 21 0 6 .8 5 5-6 .3 5 0 0 61 0 0 3 6 21 0 6 .9 2 6-6 .4 0 1 1 71 0 0 8 2 91 0 6 .8 5 6-6 .3 8 5 0 51 0 7 0 0 11 0 6 .8 0 6-6 .3 7 1 6 41 0 0 2 4 11 0 6 .8 3 9-6 .4 3 7 6 91 0 0 2 5 61 0 6 .8 1 7-6 .5 6 6 8 61 0 0 3 8 11 0 6 .7 6 1-6 .4 1 9 2 81 0 0 3 8 71 0 6 .7 9 4-6 .4 8 9 7 81 0 7 0 0 11 0 6 .8 0 6-6 .3 7 1 6 41 0 0 2 5 21 0 6 .7 6 1-6 .5 7 7 2 81 0 0 2 5 31 0 6 .8 1 6-6 .5 9 2 3 61 0 0 2 5 61 0 6 .8 1 7-6 .5 6 6 8 61 0 0 4 3 71 0 6 .7 8 9-6 .5 6 3 51 0 0 2 5 31 0 6 .8 1 6-6 .5 9 2 3 61 0 0 2 5 81 0 6 .7 7 9-6 .6 2 8 8 51 0 0 3 8 81 0 6 .8 6 3-6 .5 8 9 8 31 0 0 4 2 81 0 6 .8 4 5-6 .6 8 2 2 81 0 0 5 4 91 0 6 .8 0 9-6 .6 0 5 4 41 0 0 6 0 51 0 6 .9-6 .6 5 0 7 21 0 0 2 0 91 0 6 .9 7 4-6 .2 3 6 2 81 0 0 2 6 41 0 6 .9 9-6 .3 0 6 4 71 0 0 2 7 21 0 7 .0 0 6-6 .2 6 3 3 11 0 0 2 7 51 0 7 .0 3 2-6 .2 5 0 5 61 0 0 2 7 61 0 7 .0 0 7-6 .2 3 9 9 41 0 0 4 1 61 0 7 .0 5 8-6 .2 5 8 0 81 0 0 4 1 71 0 7 .1 5 5-6 .2 8 3 4 41 0 0 4 2 01 0 7 .0 8 5-6 .2 6 7 8 11 0 0 4 2 61 0 7 .0 4 7-6 .3 3 3 0 31 0 7 0 0 31 0 6 .9 5 8-6 .3 0 6 6 4

1、当您付费下载文档后,您只拥有了使用权限,并不意味着购买了版权,文档只能用于自身使用,不得用于其他商业用途(如 [转卖]进行直接盈利或[编辑后售卖]进行间接盈利)。
2、本站所有内容均由合作方或网友上传,本站不对文档的完整性、权威性及其观点立场正确性做任何保证或承诺!文档内容仅供研究参考,付费前请自行鉴别。
3、如文档内容存在违规,或者侵犯商业秘密、侵犯著作权等,请点击“违规举报”。

碎片内容

经纬度生成KML文件

小辰8+ 关注
实名认证
内容提供者

出售各种资料和文档

确认删除?
VIP
微信客服
  • 扫码咨询
会员Q群
  • 会员专属群点击这里加入QQ群
客服邮箱
回到顶部