电脑桌面
添加小米粒文库到电脑桌面
安装后可以在桌面快捷访问

无穷数作业选择题VIP免费

无穷数作业选择题_第1页
1/6
无穷数作业选择题_第2页
2/6
无穷数作业选择题_第3页
3/6
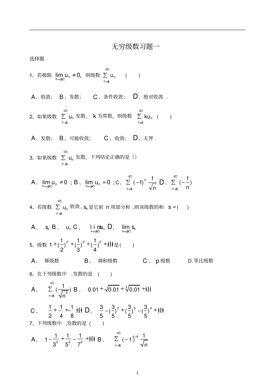
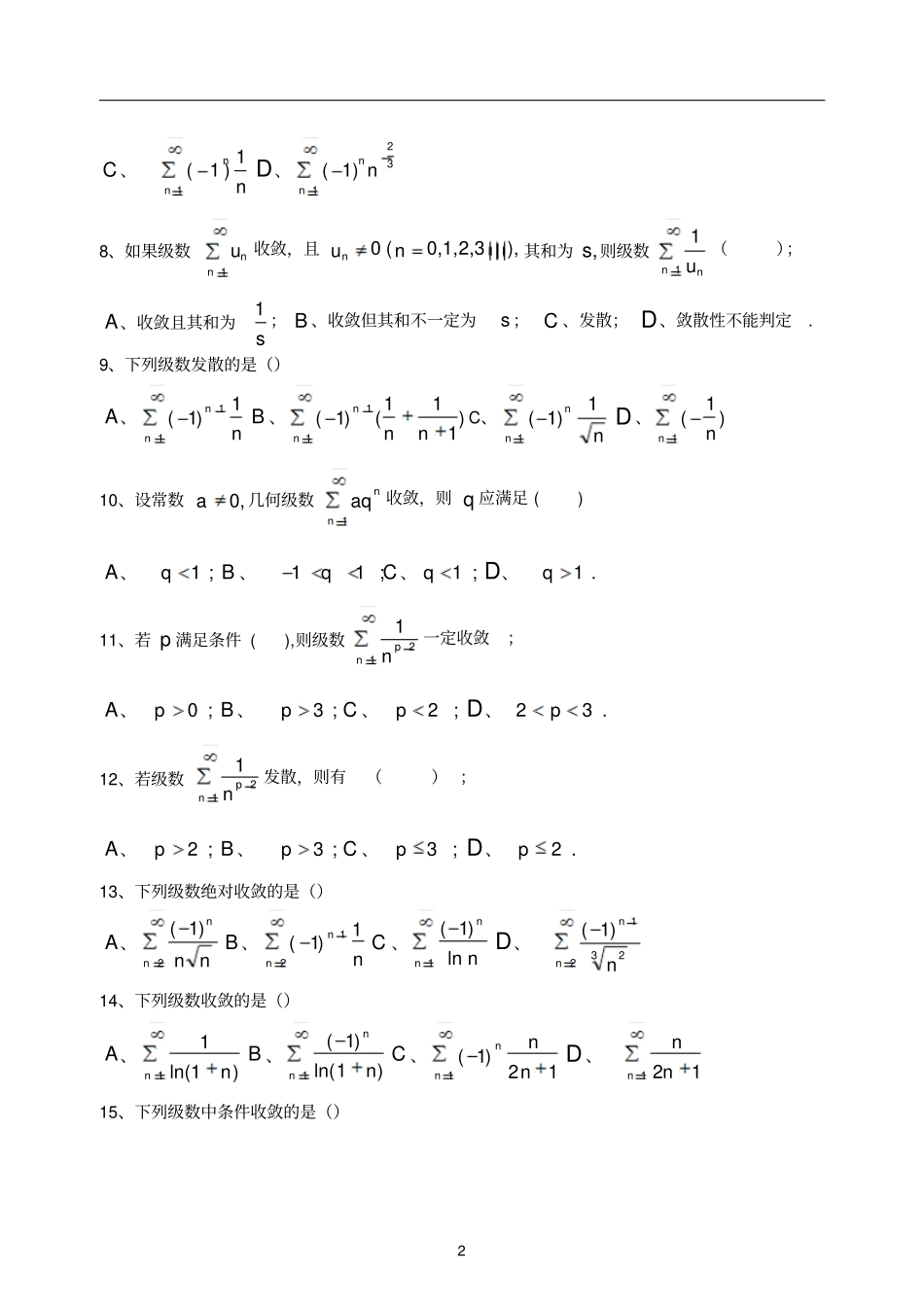
1 无穷级数习题一选择题1、若极限 lim0nnu,则级数1nnu( ) A、收敛; B 、发散;C 、条件收敛; D、绝对收敛 . 2、如果级数1nnu 发散, k 为常数,则级数1nnku( ) A、发散; B 、可能收敛;C 、收敛; D、无界 . 3、如果级数1nnu 发散,下列结论正确的是()A、 lim0 ;nnuB 、 lim0 ;nnuC、nnn1)1(1D 、)1(1nn4、若级数1nnu 收敛 ,ns 是它前 n 项部分和 ,则该级数的和s( ) A、ns B 、nu C 、l i m nxu D、 limnxs5、级数2221111()( )()234是( ) A、 幂级数B 、 调和级数C 、 p 级数D.等比级数6、在下列级数中,发散的是( ) A、311()nnB 、30.010.010.01C 、111248D、2343333( )()( )55557、下列级数中 ,发散的是 ( ) A、2221111357B 、111(1)nnn2 C 、11(1 )nnn D、231( 1)nnn8、如果级数1nnu 收敛,且0 (0,1,2,3),nun其和为,s 则级数11nnu();A、收敛且其和为1s; B 、收敛但其和不一定为s ; C 、发散; D、敛散性不能判定. 9、下列级数发散的是()A、nnn1)1(11B 、)111()1(11nnnnC、nnn1)1(1D 、)1(1nn10、设常数0,a几何级数1nnaq收敛,则 q 应满足 ( ) A、1 ;qB 、11 ;qC 、1 ;qD、1 .q11、若 p 满足条件 ( ),则级数211pnn一定收敛;A、0 ;pB 、3 ;pC 、2 ;pD、 23 .p12、若级数211pnn发散,则有() ;A、2 ;pB 、3 ;pC 、3 ;pD、2 .p13、下列级数绝对收敛的是()A、2)1(nnnnB 、nnn1)1(21C 、1 ln)1(nnn D、2321)1(nnn14、下列级数收敛的是()A、1)1ln(1nnB 、1)1ln()1(nnnC 、112)1(nnnnD 、112nnn15、下列级数中条件收敛的是()3 A、132)1(nnn; B 、11)1(nnn; C 、1112)1(nnnn;D、13151)1(nnn. 16、若级数21nna收敛,则级数1nna()A、发散; B 、绝对收敛;C 、条件收敛; D、敛散性不能判定. 17、若级数11,nnnnab 均发散,则()A、1()nnnab发散;B 、1()nnnab发散;C 、221()nnnab发散; D、1nnna b 发散;18、若极限 limnnaa,则级数11()nnnaa( ) A、收敛且其和为1aa; B 、收敛且其和为a ;C 、收敛且其和为0 ; D、发散 . 19、如果级数1nnu收敛,则下列结论不成立的是()A、 lim0nnu; B 、1nnu收敛;C 、1(nnkuk 为常数)收敛; D、2121()nnnuu收敛 . 20、关于级数11( 1)npnn收敛的正确答案是()A、 当1p时条件收敛;B 、当 01p时条件收敛;4 C 、当...

1、当您付费下载文档后,您只拥有了使用权限,并不意味着购买了版权,文档只能用于自身使用,不得用于其他商业用途(如 [转卖]进行直接盈利或[编辑后售卖]进行间接盈利)。
2、本站所有内容均由合作方或网友上传,本站不对文档的完整性、权威性及其观点立场正确性做任何保证或承诺!文档内容仅供研究参考,付费前请自行鉴别。
3、如文档内容存在违规,或者侵犯商业秘密、侵犯著作权等,请点击“违规举报”。

碎片内容

无穷数作业选择题

文库当当响+ 关注
实名认证
内容提供者

该用户很懒,什么也没介绍

确认删除?
VIP
微信客服
  • 扫码咨询
会员Q群
  • 会员专属群点击这里加入QQ群
客服邮箱
回到顶部