电脑桌面
添加小米粒文库到电脑桌面
安装后可以在桌面快捷访问

最全最实用的高等数学公式大全讲解VIP专享VIP免费

最全最实用的高等数学公式大全讲解_第1页
1/9
最全最实用的高等数学公式大全讲解_第2页
2/9
最全最实用的高等数学公式大全讲解_第3页
3/9
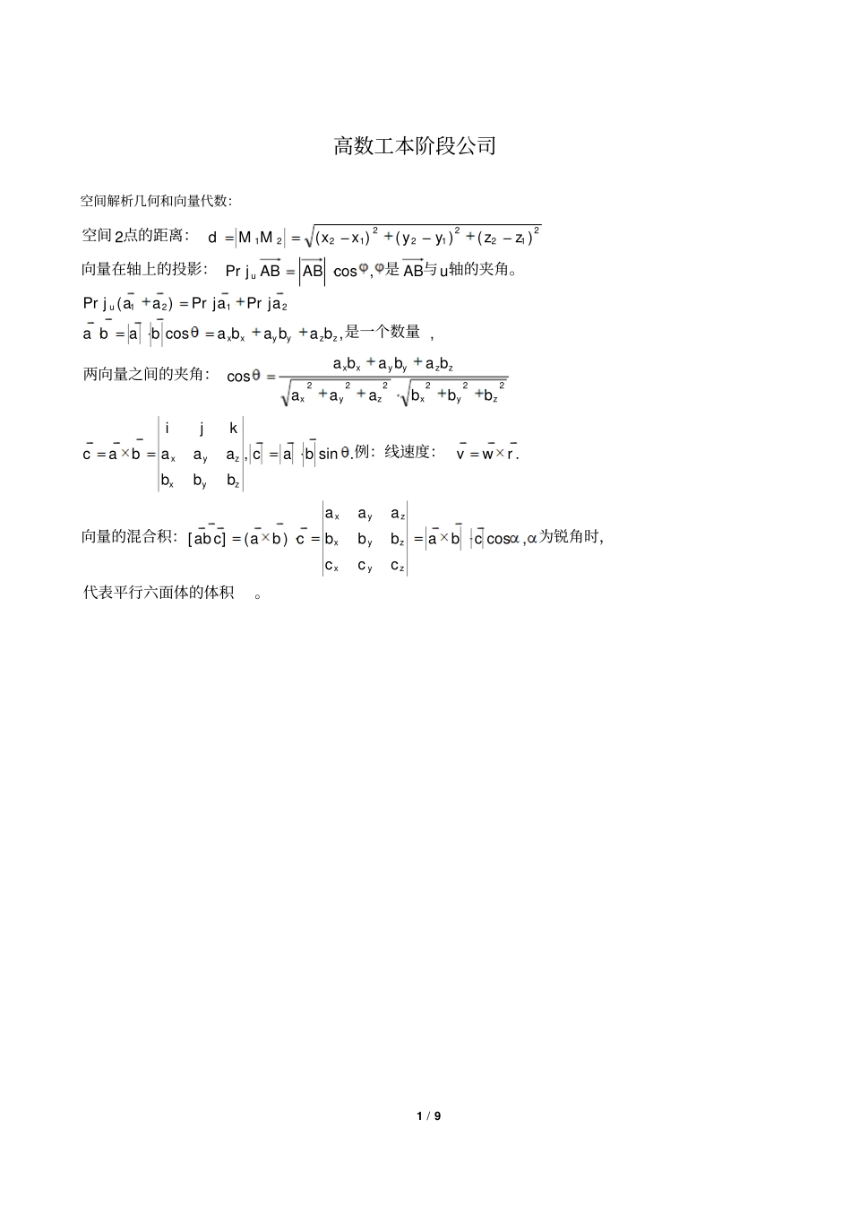
1 / 9高数工本阶段公司空间解析几何和向量代数:。代表平行六面体的体积为锐角时,向量的混合积:例:线速度:两向量之间的夹角:是一个数量轴的夹角。与是向量在轴上的投影:点的距离:空间,cos)(][..sin,cos,,cosPrPr)(Pr,cosPr)()()(2222222212121221221221cbacccbbbaaacbacbarwvbacbbbaaakjibacbbbaaababababababababaajajaajuABABABjzzyyxxMMdzyxzyxzyxzyxzyxzyxzyxzzyyxxzzyyxxuu2 / 9(马鞍面)双叶双曲面:单叶双曲面:、双曲面:同号)(、抛物面:、椭球面:二次曲面:参数方程:其中空间直线的方程:面的距离:平面外任意一点到该平、截距世方程:、一般方程:,其中、点法式:平面的方程:113,,22211};,,{,1302),,(},,,{0)()()(1222222222222222222220000002220000000000czbyaxczbyaxqpzqypxczbyaxptzzntyymtxxpnmstpzznyymxxCBADCzByAxdczbyaxDCzByAxzyxMCBAnzzCyyBxxA多元函数微分法及应用zyzxyxyxyxyxFFyzFFxzzyxFdxdyFFyFFxdxydFFdxdyyxFdyyvdxxvdvdyyudxxuduyxvvyxuuxvvzxuuzxzyxvyxufztvvztuuzdtdztvtufzyyxfxyxfdzzdzzudyyudxxududyyzdxxzdz, , 隐函数+, , 隐函数隐函数的求导公式: 时,,当 :多元复合函数的求导法全微分的近似计算: 全微分:0),,()()(0),(),(),()],(),,([)](),([),(),(223 / 9),(),(1),(),(1),(),(1),(),(1),(),(0),,,(0),,,(yuGFJyvvyGFJyuxuGFJxvvxGFJxuGGFFvGuGvFuFvuGFJvuyxGvuyxFvuvu 隐函数方程组:微分法在几何上的应用:),,(),,(),,(30))(,,())(,,())(,,(2)},,(),,,(),,,({1),,(0),,(},,{,0),,(0),,(0))(())(())(()()()(),,()()()(000000000000000000000000000000000000000000000000000zyxFzzzyxFyyzyxFxxzzzyxFyyzyxFxxzyxFzyxFzyxFzyxFnzyxMzyxFGGFFGGFFGGFFTzyxGzyxFzztyytxxtMtzztyytxxzyxMtztytxzyxzyxzyxyxyxxzxzzyzy、过此点的法线方程::、过此点的切平面方程、过此点的法向量:,则:上一点曲面则切向量若空间曲线方程为:处的法平面方程:在点处的切线方程:在点空间曲线方向导数与梯度:上的投影。在是单位向量。方向上的,为,其中:它与方向导数的关系是的梯度:在一点函数的转角。轴到方向为其中的方向导数为:沿任一方向在一点函数lyxflfljieeyxflfjyfixfyxfyxpyxfzlxyfxflflyxpyxfz),(gradsincos),(grad),(grad),(),(sincos),(),(多元函数的极值及其求法: 不确定时值时, 无极为极小值为极大值时,则: ,令:设,00),(,0),(,00),(,),(,),(0),(),(22000020...

1、当您付费下载文档后,您只拥有了使用权限,并不意味着购买了版权,文档只能用于自身使用,不得用于其他商业用途(如 [转卖]进行直接盈利或[编辑后售卖]进行间接盈利)。
2、本站所有内容均由合作方或网友上传,本站不对文档的完整性、权威性及其观点立场正确性做任何保证或承诺!文档内容仅供研究参考,付费前请自行鉴别。
3、如文档内容存在违规,或者侵犯商业秘密、侵犯著作权等,请点击“违规举报”。

碎片内容

最全最实用的高等数学公式大全讲解

确认删除?
VIP
微信客服
  • 扫码咨询
会员Q群
  • 会员专属群点击这里加入QQ群
客服邮箱
回到顶部