电脑桌面
添加小米粒文库到电脑桌面
安装后可以在桌面快捷访问

有机化学周莹主编课后习题参考标准答案VIP免费

有机化学周莹主编课后习题参考标准答案_第1页
1/40
有机化学周莹主编课后习题参考标准答案_第2页
2/40
有机化学周莹主编课后习题参考标准答案_第3页
3/40
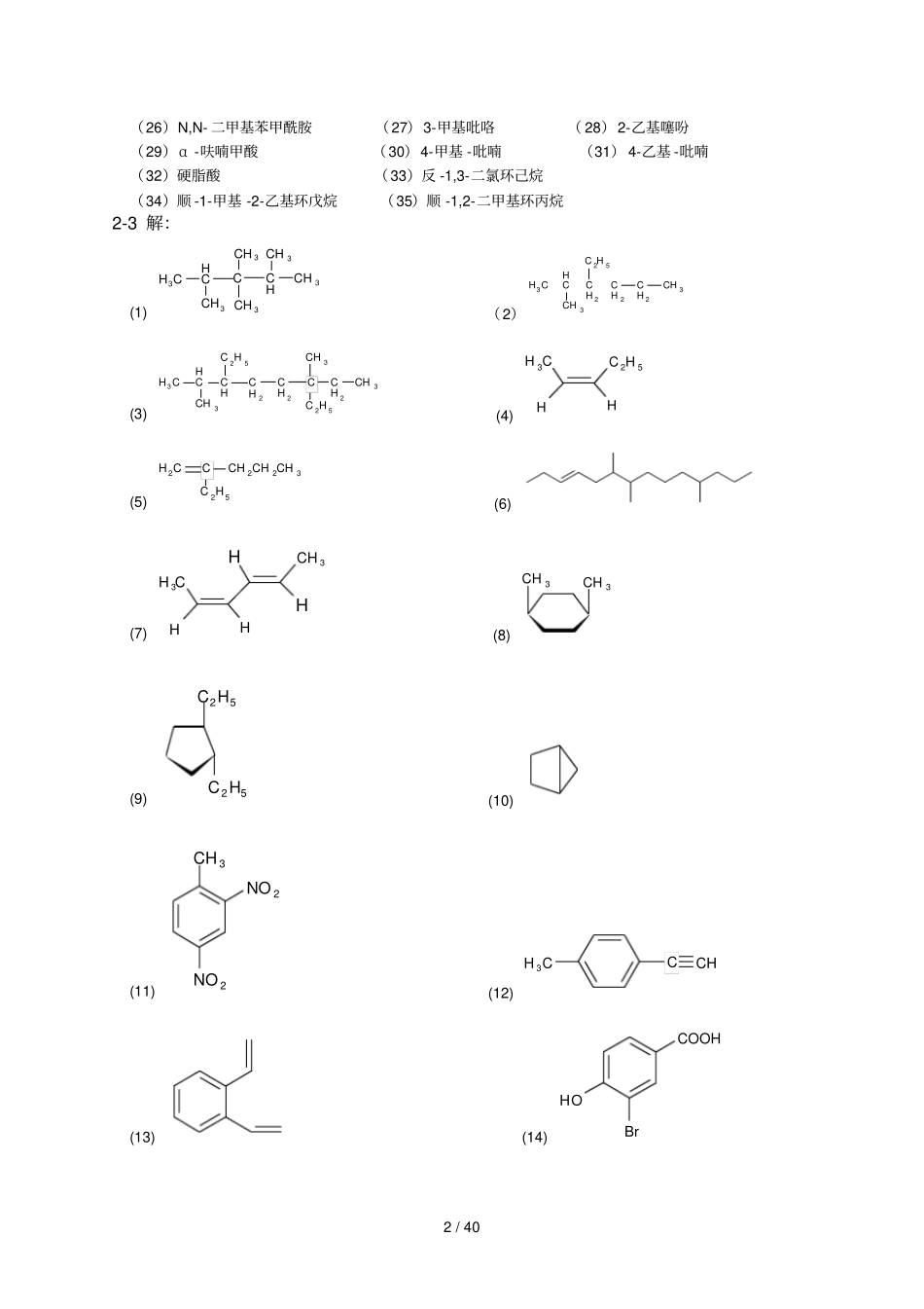
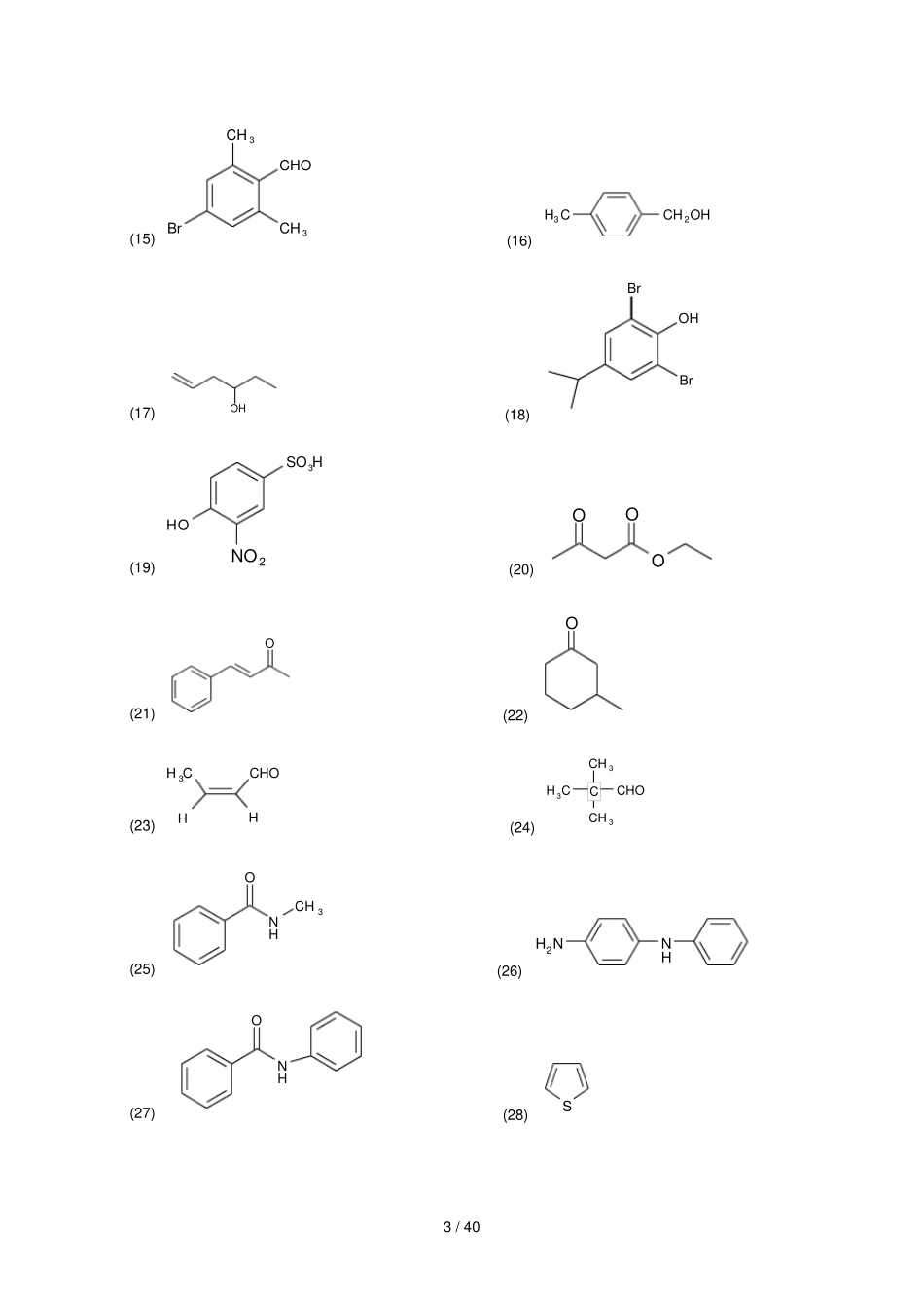
1 / 40 《有机化学 》周莹主编 习题参考答案第一章绪论1-1 解:(1)C1 和 C2 的杂化类型由sp3 杂化改变为sp2 杂化; C3 杂化类型不变。(2)C1 和 C2 的杂化类型由sp 杂化改变为sp3 杂化。(3)C1 和 C2 的杂化类型由sp2 杂化改变为sp3 杂化; C3 杂化类型不变。1-2 解:(1) Lewis 酸H+ , R+ ,R-C+= O, Br+ , AlCl 3,BF 3,Li + 这些物质都有空轨道,可以结合孤对电子,是Lewis 酸。(2)Lewis 碱x-, RO-, HS-, NH 2, RNH 2, ROH, RSH 这些物质都有多于的孤对电子,是Lewis 碱。1-3 解:硫原子个数n= 57343.4%6.0832..071-4 解:甲胺、二甲胺和三甲胺都能与水形成氢键,都能溶于水。综合考虑烷基的疏水作用,以及能形成氢键的数目(N 原子上 H 越多,形成的氢键数目越多) ,以及空间位阻,三者的溶解性大小为:CH 3NH 2 >( CH3)2NH >(CH 3)3N 1-5 解:3 2 75 1. 4 %1412.0Cn,3274.3%141.0Hn,32712.8%314.0Nn,3279.8%132.0Sn,327 14.7%316.0On,3277.0%123.0Nan甲基橙的实验试:C14H14N3SO3Na 1-6 解:CO 2:5.7mg H 2O: 2.9mg 第二章有机化合物的分类和命名2-1 解:(1) 碳链异构(2)位置异构(3)官能团异构(4)互变异构2-2 解:(1) 2,2,5,5-四甲基己烷(2 ) 2,4- 二甲基己烷( 3)1- 丁烯 -3- 炔(4) 2-甲基 -3-氯丁烷(5)2-丁胺( 6)1-丙胺(7)(E)-3,4-二甲基 -3-己烯(8)(3E,5E)-3-甲基 -4,5-二氯 -3,5-辛二烯(9) 2,5-二甲基- 2,4-己二烯( 10)甲苯(11)硝基苯(12)苯甲醛(13)1-硝基 -3-溴甲苯(14)苯甲酰胺(15)2-氨基 -4-溴甲苯(16)2,2,4-三甲基 -1-戊醇(17)5-甲基 -2-己醇(18)乙醚(19)苯甲醚(20) 甲乙醚(21) 3-戊酮(22 ) 3-甲基 -戊醛(23)2,4-戊二酮( 24)邻苯二甲酸酐(25)苯乙酸甲酯2 / 40 (26)N,N- 二甲基苯甲酰胺(27)3-甲基吡咯( 28)2-乙基噻吩(29)α -呋喃甲酸(30)4-甲基 -吡喃(31) 4-乙基 -吡喃(32)硬脂酸(33)反 -1,3-二氯环己烷(34)顺 -1-甲基 -2-乙基环戊烷(35)顺 -1,2-二甲基环丙烷2-3 解:(1) CH3CHCH 3CH 3CH 3CHCH 3CH 3C(2)CH3CHCH 3CH 2CH 2CH 2CH 3C 2H 5(3) CH 3CHCH 3CHCH 2CH 2CH 2CH 3C 2H 5CH 3C 2H 5C(4) C 2H 5HCH 3H(5) CH 2C 2H 5CH 2CH 2CH 3C(6) (7) HCH...

1、当您付费下载文档后,您只拥有了使用权限,并不意味着购买了版权,文档只能用于自身使用,不得用于其他商业用途(如 [转卖]进行直接盈利或[编辑后售卖]进行间接盈利)。
2、本站所有内容均由合作方或网友上传,本站不对文档的完整性、权威性及其观点立场正确性做任何保证或承诺!文档内容仅供研究参考,付费前请自行鉴别。
3、如文档内容存在违规,或者侵犯商业秘密、侵犯著作权等,请点击“违规举报”。

碎片内容

有机化学周莹主编课后习题参考标准答案

您可能关注的文档

确认删除?
VIP
微信客服
  • 扫码咨询
会员Q群
  • 会员专属群点击这里加入QQ群
客服邮箱
回到顶部