电脑桌面
添加小米粒文库到电脑桌面
安装后可以在桌面快捷访问

有机化学期末考试试题及答案三本院校资料VIP免费

有机化学期末考试试题及答案三本院校资料_第1页
1/27
有机化学期末考试试题及答案三本院校资料_第2页
2/27
有机化学期末考试试题及答案三本院校资料_第3页
3/27
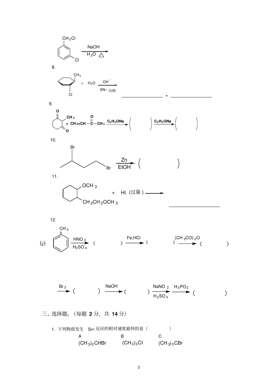
1 ** 大学科学技术学院2007 /2008 学年第2 学期考核试卷课号: EK1G03A 课程名称:有机化学A 试卷编号: A 班级:学号:姓名:阅卷教师:成绩:大题号一二三四五六总分得分一. 命名下列各化合物或写出结构式(每题1 分,共 10 分)1. CCHC(CH 3 )3(H3C)2HCH2. COOH3. OCH 34. CHO5. OH6. 苯乙酰胺7. 邻羟基苯甲醛8.序号2 对氨基苯磺酸9. 3- 乙基 -6- 溴-2- 己烯 -1- 醇10. 甲基叔丁基醚二. 试填入主要原料,试剂或产物(必要时,指出立体结构),完成下列各反应式。(每空 2 分,共 48 分)1. CHCH2ClCHBrKCN/EtOH2. 3. 4. +CO 2CH 35. 1, B2H62, H2O2, OH-1, Hg(OAc) 2,H2O-THF2, NaBH46. CH 3OHOHHIO 47. +C12高温高压、O3H2OZn粉①②CH = CH 2CH3COCH 3H2O①②HBrMg醚H+CH3COC13 CH 2ClClNaOHH 2O8. ClCH3+H2OOH-SN 1 历程+ 9. C2H5ONaOCH 3O+ CH 2=CHCCH 3OC2H5ONa10. BrBrZnEtOH11. OCH 3CH 2CH 2OCH 3+HI (过量 )12. Fe,HClH2SO 4HNO 3CH 3(CH 3CO) 2OBr 2NaOHH 2SO 4NaNO 2H3PO2(2)三. 选择题。(每题 2 分,共 14 分)1. 下列物质发生SN1 反应的相对速度最快的是()A B C (CH 3)2CHBr(CH3)3CI(CH 3)3CBr4 2. 对 CH 3Br 进行亲核取代时,以下离子亲核性最强的是:()(A). CH 3COO- (B). CH 3CH 2O- (C). C6H5O-(D). OH -3. 下列化合物中酸性最强的是()(A) CH 3CCH (B) H 2O (C) CH 3CH 2OH (D) p-O2NC6H 4OH (E) C6H5OH (F) p-CH 3C6H4OH 4. 指出下列化合物的相对关系()COOHHCH3CH2CH3COOHH3CCH 2CH 3HA,相同, B,对映异构, C,非对映体, D,没关系5. 下列化合物不发生碘仿反应的是( ) A、 C 6H5COCH3B、C2H3OH C、 CH3CH2COCH2CH3D、CH3COCH2CH36. 下列反应的转化过程经历了( ) C=CHCH 2CH 2CH 2CH=CH3CH3CCH3CH 3H+C=CH3CH3CCCH 2CH 2H2CCH2H3CCH3A、亲电取代 B、亲核加成C、正碳离子重排 D、反式消除7. 能与托伦试剂反应产生银镜的是( ) A、CCl3COOH B、CH3COOH C、 CH2ClCOOH D、HCOOH 四. 鉴别下列化合物(共5 分)NH 2、CH2NH2 、CH2OH 、CH2Br5 五. 从指定的原料合成下列化合物。 (任选 3 题,每题 5 分,共 15 分)1. 由溴代环己烷及不超过四个碳原子的化合物和必要试剂合成:CH2OH2.由指定原料及不超过四个碳原子的化合物...

1、当您付费下载文档后,您只拥有了使用权限,并不意味着购买了版权,文档只能用于自身使用,不得用于其他商业用途(如 [转卖]进行直接盈利或[编辑后售卖]进行间接盈利)。
2、本站所有内容均由合作方或网友上传,本站不对文档的完整性、权威性及其观点立场正确性做任何保证或承诺!文档内容仅供研究参考,付费前请自行鉴别。
3、如文档内容存在违规,或者侵犯商业秘密、侵犯著作权等,请点击“违规举报”。

碎片内容

有机化学期末考试试题及答案三本院校资料

您可能关注的文档

确认删除?
VIP
微信客服
  • 扫码咨询
会员Q群
  • 会员专属群点击这里加入QQ群
客服邮箱
回到顶部