电脑桌面
添加小米粒文库到电脑桌面
安装后可以在桌面快捷访问

有理数混合运算100题VIP免费

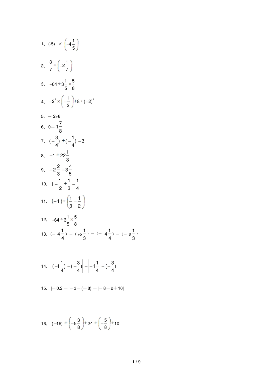
有理数混合运算100题_第1页
1/9
有理数混合运算100题_第2页
2/9
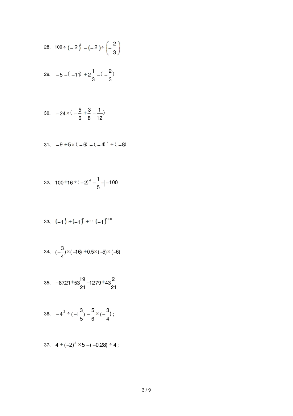
有理数混合运算100题_第3页
3/9
1 / 9 1、(-5) ×1452、312773、15643584、22128( 2)25、— 2+6 6、0—8717、3)41()43(8、312219、54332210、413121111、1213112、156435813、(-414)-( +531 )-(-414)-(- 831 )14、)43(411)43()411(15、 |-0.2|-|-3-(+8)|-|-8-2+10| 16、108524835)16(2 / 9 17、 81.26-293.8+8.74+111 18、; 19、20、; 21、)(5431191027118322、26 +14 +16 +823、8)02.0()25(; 24、1276595213625、1311431026、 8+23227、81)4(20333 / 9 28、 1002223229、)()(3231211530、)(12183652431、)()()(84659232、100512161004)(33、20002111134、)6()5(5.0)16()43(35、2124379.1221195321.8736、)43(65)531(42;37、4)28.0(5)2(43;4 / 9 38、2)6543187(3639、111117(113)( 2)9284440、419932( 4)(1416)4131341、33221121(5533 )2242、2335( 2)(10.8)11443、(—315)÷(— 16) ÷(— 2)44、 –4 + 2 ×(-3) –6÷0.25 45、(— 5)÷[1.85 —( 2—431)× 7]46、 18÷{1-[0.4+ (1-0.4)]×0.4 5 / 9 47、 1÷( 61 -31 ) ×6148、 –3-[4-(4-3.5×31 )] ×[-2+(-3) ] 49、 8+(-41 )- 5- (- 0.25) 50、 99 × 26 51、 (3.5-7.75-4.25)÷1.1 52、|])21((|31)322(|)2(41[|)116(2152353、2001200220033635354、8)02.0()25(55、 21+232156、81)4(28336 / 9 57、 1002223258、 (-371)÷ (461 -1221)÷(-2511) ×(-143) 59、 (-2)14×(-3)15×(-61)14 60、- 42+5×(-4)2- (-1)51×(-61)+(-221)÷(-241) 61、 0-11312 ×3152 -11513 ×41312 -3×(-11513)62、 ()()4+×733×250)-(.-63、)3()12(。64、)4()15(。65、)8()16(。66、)24()23(。7 / 9 67、132)102(。68、(-11)(-32)。69、0)35(。70、)85(78。71、)15()14(。72、)16()14(。73、)17(12。74、)52(0。75、)11(108。76、)3.2(8.4。77、)2.0(3.1)9.0()7.0()8.1(78、)326()434()313(4179、)5()]7()4[(80、]12)3[(381、)109(882、)106()53(83、54321084、)61(41)31()412(21385、21119438 / 9 86、3121187、)]18()21(26[1388、2111)43(41289、(-4)3。90、(-6)2。91、0(-6)。92、)43(32。93、)21()2(。94、)25.0()4(。95、)25()7()4(96、)34(8)53(97、)1514348(4398、)8(45)201(9 / 9 99、53)8()92()4()52(8100、)8(12)11(9

1、当您付费下载文档后,您只拥有了使用权限,并不意味着购买了版权,文档只能用于自身使用,不得用于其他商业用途(如 [转卖]进行直接盈利或[编辑后售卖]进行间接盈利)。
2、本站所有内容均由合作方或网友上传,本站不对文档的完整性、权威性及其观点立场正确性做任何保证或承诺!文档内容仅供研究参考,付费前请自行鉴别。
3、如文档内容存在违规,或者侵犯商业秘密、侵犯著作权等,请点击“违规举报”。

碎片内容

有理数混合运算100题

您可能关注的文档

文库当当响+ 关注
实名认证
内容提供者

该用户很懒,什么也没介绍

确认删除?
VIP
微信客服
  • 扫码咨询
会员Q群
  • 会员专属群点击这里加入QQ群
客服邮箱
回到顶部