电脑桌面
添加小米粒文库到电脑桌面
安装后可以在桌面快捷访问

有理数除法练习题VIP免费

有理数除法练习题_第1页
1/4
有理数除法练习题_第2页
2/4
有理数除法练习题_第3页
3/4
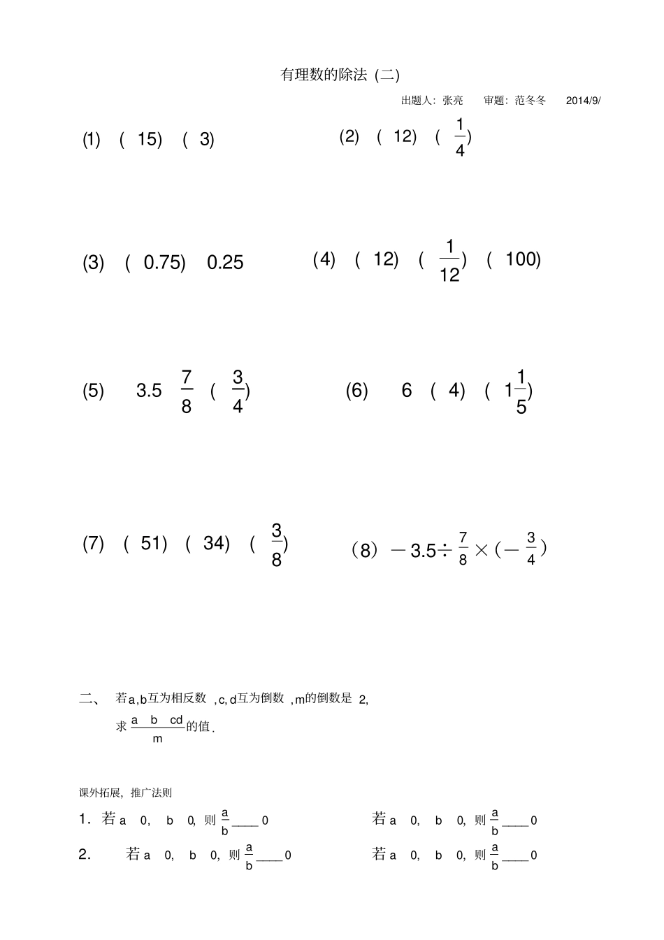
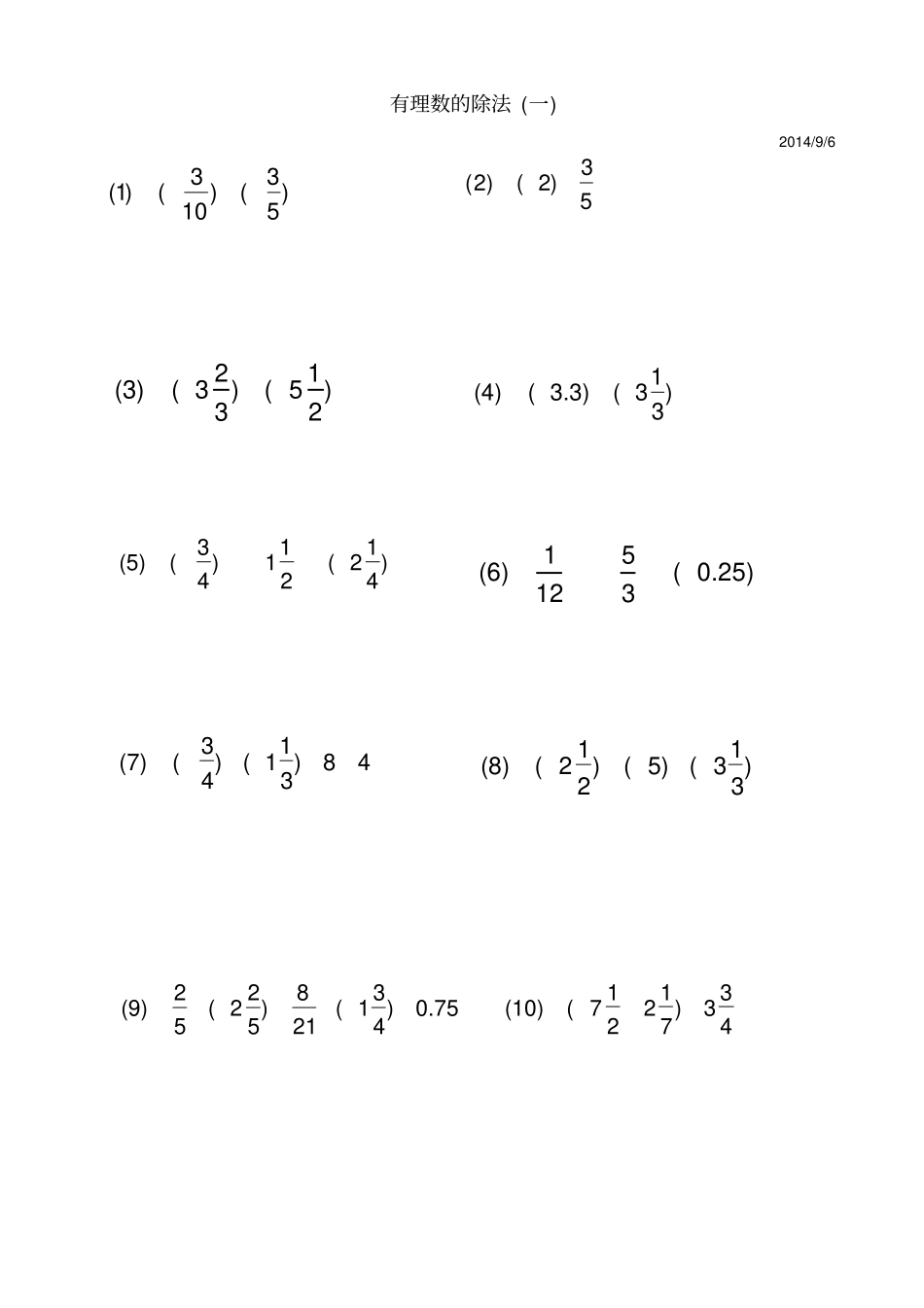
有理数的除法 (一) 2014/9/621(3)( 3)( 5)321(4)( 3.3)( 3 )311(8)( 2)( 5)( 3 )232283(9)( 2)( 1 )0.7555214113(10)( 72)3274)53()103()1(53)2()2(311(5)()1( 2)42415(6)( 0.25)12331(7)()( 1 )8443有理数的除法 (二) 出题人:张亮审题:范冬冬2014/9/ )3()15()1()41()12()2(25.0)75.0()3()100()121()12()4(73(5)3.5()841(6)6( 4)( 1 )53(7)( 51)( 34)()8(8)-3.5÷ 87 ×(- 43 )二、课外拓展,推广法则1.若0____0,0baba,则若0____0,0baba,则2.若0____0,0baba,则若0____0,0baba,则.,2,,,,的值求的倒数是互为倒数互为相反数若mcdbamdcba有理数的除法 (三) 出题人:张亮审题:范冬冬2014/9/ 一.填空(1)-21 的相反数为,倒数为。(2) 若一个数的相反数为 -131 ,则这个数为,这个数的倒数为。(3)74 的相反数的倒数是。(4) 倒数是它本身的数是,相反数是它本身的数是。(5) 若两个数互为倒数,则它们的积是。(6) 若两个数互为负倒数,则它们的积是。(7) 若一个数的53 是-3 ,这个数是。(8) 一个不为 0 的数乘以它的相反数的倒数,其积为。(9) 若 a 和 b 互为相反数, c 和 d 互为倒数,则 3(a+b)-5cd= . (10)2 ÷(-7)= 0÷(-3.75)= (11)(-72)÷9= 10÷(-0.25)= (12)53÷(-252 )+0.25= 25×376×(-4)= 二. 选择题(1) 下列说法正确的是 ( ) A.0 是最小的有理数 B.0的相反数还是 0 C.0 的倒数是 0 D.0除以任何数得 0 (2) 若一个数的相反数与这个数的倒数的和等于0,则这个数的绝对值等于 ( )。A.2 B.1 C.21 D.0 (3) 下列说法正确的个数为 ( ) ①任何有理数都有倒数②一个数的倒数一定小于这个数③0 除以任何数都得 0 ④两个数的商为 0,只有被除数等于零A.0 个 B.1个 C.2个 D.3个(4) 一个有理数与它的倒数相等,这样的有理数是 ( )。A.1 、0 B.-1、0 C.1、-1 D.-1、0、1 (5) 一个正整数 m与其倒数m1 、相反数 -m 相比较,正确的大小关系是 ( )。A.-m<m1 ≤m B.-m<m1 <m C. m1 >m>-m D.-m≤m≤m1三、计算481 ( 63)( 9)2 ( 63)( 9)3 ( 63)( 9)48、、、、11152415627 ( 1)8142714354、、、、53219 ( 1)10 1.2( 0.3)11126434、、、1412312 ( 81)2131484( 2)49434、、、

1、当您付费下载文档后,您只拥有了使用权限,并不意味着购买了版权,文档只能用于自身使用,不得用于其他商业用途(如 [转卖]进行直接盈利或[编辑后售卖]进行间接盈利)。
2、本站所有内容均由合作方或网友上传,本站不对文档的完整性、权威性及其观点立场正确性做任何保证或承诺!文档内容仅供研究参考,付费前请自行鉴别。
3、如文档内容存在违规,或者侵犯商业秘密、侵犯著作权等,请点击“违规举报”。

碎片内容

有理数除法练习题

您可能关注的文档

确认删除?
VIP
微信客服
  • 扫码咨询
会员Q群
  • 会员专属群点击这里加入QQ群
客服邮箱
回到顶部