电脑桌面
添加小米粒文库到电脑桌面
安装后可以在桌面快捷访问

2018年全国统一施工机械台班费用定额VIP免费

2018年全国统一施工机械台班费用定额_第1页
1/30
2018年全国统一施工机械台班费用定额_第2页
2/30
2018年全国统一施工机械台班费用定额_第3页
3/30
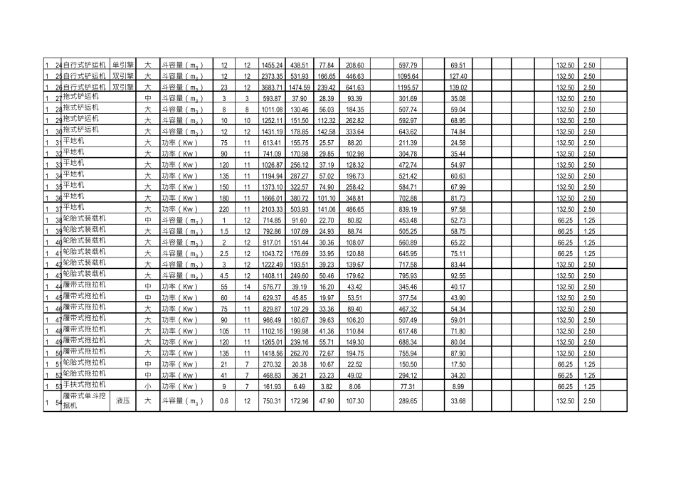
其 中汽油柴油煤电水木柴人工定额9.908.60##### 1.0002.002.0053.00定额元元元元元元kgkgtkw·hm3kg元工日元1-1大松土深度(m)0.513954.40189.5842.86122.14467.3254.34132.502.501-2大松土深度(m)113987.14193.4150.37143.54467.3254.34132.502.501-3大清除宽度(m)413953.74182.3644.22127.34467.3254.34132.502.501-4大清除宽度(m)1.513944.63177.0743.23124.51467.3254.34132.502.501-5中功率(Kw)5011502.9145.5617.6145.80261.4430.40132.502.501-6中功率(Kw)5511552.3246.5919.4450.55303.2435.26132.502.501-7中功率(Kw)6011611.3048.5421.5756.09352.6041.00132.502.501-8大功率(Kw)7511867.29139.9036.2794.31464.3153.99132.502.501-9大功率(Kw)9011973.69179.9842.70111.02507.4959.01132.502.501-10大功率(Kw)105111001.58199.7044.73116.30508.3559.11132.502.501-11大功率(Kw)135111329.64353.7278.53204.17560.7265.20132.502.501-12大功率(Kw)165111553.60421.56107.35279.10613.0971.29132.502.501-13特功率(Kw)240112019.71606.73178.21358.20744.0786.52132.502.501-14特功率(Kw)313112266.22708.49228.50422.73774.0090.00132.502.501-15大功率(Kw)10511931.54211.8244.94110.56431.7250.20132.502.501-16大功率(Kw)135111290.87356.8478.72193.65529.1661.53132.502.501-17大功率(Kw)165111510.98422.95107.52264.50583.5167.85132.502.501-18大功率(Kw)150111524.74294.1952.33183.14862.58100.30132.502.501-19自行式铲运机单引擎中斗容量(m3)312800.15189.5048.56130.14299.4534.82132.502.501-20自行式铲运机单引擎大斗容量(m3)412900.55281.1150.95136.54299.4534.82132.502.501-21自行式铲运机单引擎大斗容量(m3)6121010.11299.6353.84144.28379.8644.17132.502.501-22自行式铲运机单引擎大斗容量(m3)8121144.08324.0458.46156.68472.4054.93132.502.501-23自行式铲运机单引擎大斗容量(m3)10121255.76332.4662.22166.74561.8465.33132.502.50养路费及车船使用税机械名称规格型号折旧费大修理费经常修理费安拆费 及场外运输燃料动力费人工费湿地推土机湿地推土机湿地推土机轮胎式推土机履带式推土机履带式推土机履带式推土机履带式推土机履带式推土机履带式推土机除荆机除根机履带式推土机履带式推土机履带式推土机履带式推土机2018年全国统一施工机械台班费用定额一、...

1、当您付费下载文档后,您只拥有了使用权限,并不意味着购买了版权,文档只能用于自身使用,不得用于其他商业用途(如 [转卖]进行直接盈利或[编辑后售卖]进行间接盈利)。
2、本站所有内容均由合作方或网友上传,本站不对文档的完整性、权威性及其观点立场正确性做任何保证或承诺!文档内容仅供研究参考,付费前请自行鉴别。
3、如文档内容存在违规,或者侵犯商业秘密、侵犯著作权等,请点击“违规举报”。

碎片内容

2018年全国统一施工机械台班费用定额

小辰5+ 关注
实名认证
内容提供者

出售各种资料和文档

确认删除?
VIP
微信客服
  • 扫码咨询
会员Q群
  • 会员专属群点击这里加入QQ群
客服邮箱
回到顶部