电脑桌面
添加小米粒文库到电脑桌面
安装后可以在桌面快捷访问

《中华字经》完整注音版VIP免费

《中华字经》完整注音版_第1页
1/12
《中华字经》完整注音版_第2页
2/12
《中华字经》完整注音版_第3页
3/12
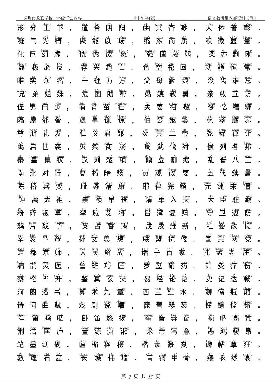
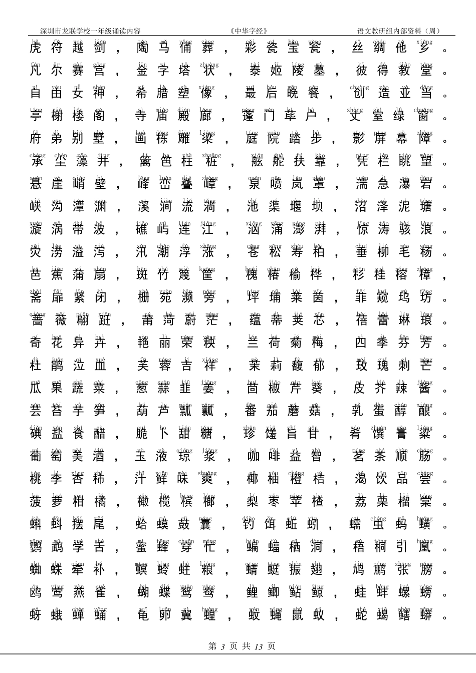
深圳市龙联学校一年级诵读内容 《中华字经》 语文教研组内部资料(周) 第 1 页 共 1 3 页 《中华字经》全文注音版 《 中 华 字 经 》 是 教 育 部 语 言 文 字 应 用 研 究 所 的 “快速识字 ,提前阅读” 课题的 最新科研 成果。该成果被立项为全国教 育 科学规划“十五”研 究 课题,题目是 “传统文 化教 育 的 现代价值研 究 与创新实践”。《 中 华 字 经 》 及配套教 材均为该成果的 具体转化并被教 育 部 语 用 所 语 言 教 学研 究 室作为“快速识字 、提前阅读特种教 材”向全国及海外推广,是 中 国侨联指定的 海外华 人学习的 汉语 教 材。 《 中 华 字 经 》 是 一种超级识字 教 材,以四字 一句、分门别类、字 不重用 、韵语 连篇的 方法编撰而成。全文 收录汉字4000 个,涵盖了国家教 育 部 、国家语 委联合颁布的 常用 汉字 和 HSK 考试大纲规定的 四级汉字 。集识字 、组词、习韵、正音 、学知 于 一体,可 使 普 通 儿 童 学习 4- 6 个月 掌 握 一生 常用 的 全部 汉字 ,并经 教 育 部 语 言 文 字 研 究 所 实验 基 地 、多 家幼 儿 园 所 验 证 ,经 公 证 处 公 证 ,5 岁 儿 童4 个月 学完 《 中 华 字 经 》,巩 固 率 为 74.6%,即 2984 个字 ,提高 现有 识字 速度 的 15- 20 倍 。 《 中 华 字 经 》 的 神 奇 效 果引 起 了海内 外媒 体的 高 度 关 注 。美 国 《 华 人日 报 》、莫 斯 科 《 路 透 参 考》、新加 坡 《 联合早 报 》、《 上 海星 期 三 》、《 中 华 学习报 》、《 教 育 时 报 》、《 闽 西 日 报 》、《 扬 子 晚 报 》、《 金 陵晚 报 》、《 山 东 家庭 报 》、《 山 西 家庭 报 》、 《 半 岛 晨 报 》、《 小 学教 学改 革 与实验 报 》、等 全国上 百 家媒 体做 了专 题报 道 ,“新浪 网 ”对 《 中 华 字 经 》 进 行 了一个月 的 讨 论 ,不少 媒 体将 《 中 华 字 经 》 誉 为 “中华 识字 第 一经 ”,为中 国近 百 年 来 识字 问 题的 重大突 破 ,预 测 它 将 掀 起 一场 识字 的 革 命 第一部分 乾qián 坤kūn有yǒu序xù,宇yǔ...

1、当您付费下载文档后,您只拥有了使用权限,并不意味着购买了版权,文档只能用于自身使用,不得用于其他商业用途(如 [转卖]进行直接盈利或[编辑后售卖]进行间接盈利)。
2、本站所有内容均由合作方或网友上传,本站不对文档的完整性、权威性及其观点立场正确性做任何保证或承诺!文档内容仅供研究参考,付费前请自行鉴别。
3、如文档内容存在违规,或者侵犯商业秘密、侵犯著作权等,请点击“违规举报”。

碎片内容

《中华字经》完整注音版

您可能关注的文档

确认删除?
VIP
微信客服
  • 扫码咨询
会员Q群
  • 会员专属群点击这里加入QQ群
客服邮箱
回到顶部