电脑桌面
添加小米粒文库到电脑桌面
安装后可以在桌面快捷访问

江南大学高等数学专升本第阶段测试题一

江南大学高等数学专升本第阶段测试题一_第1页
1/3
江南大学高等数学专升本第阶段测试题一_第2页
2/3
江南大学高等数学专升本第阶段测试题一_第3页
3/3
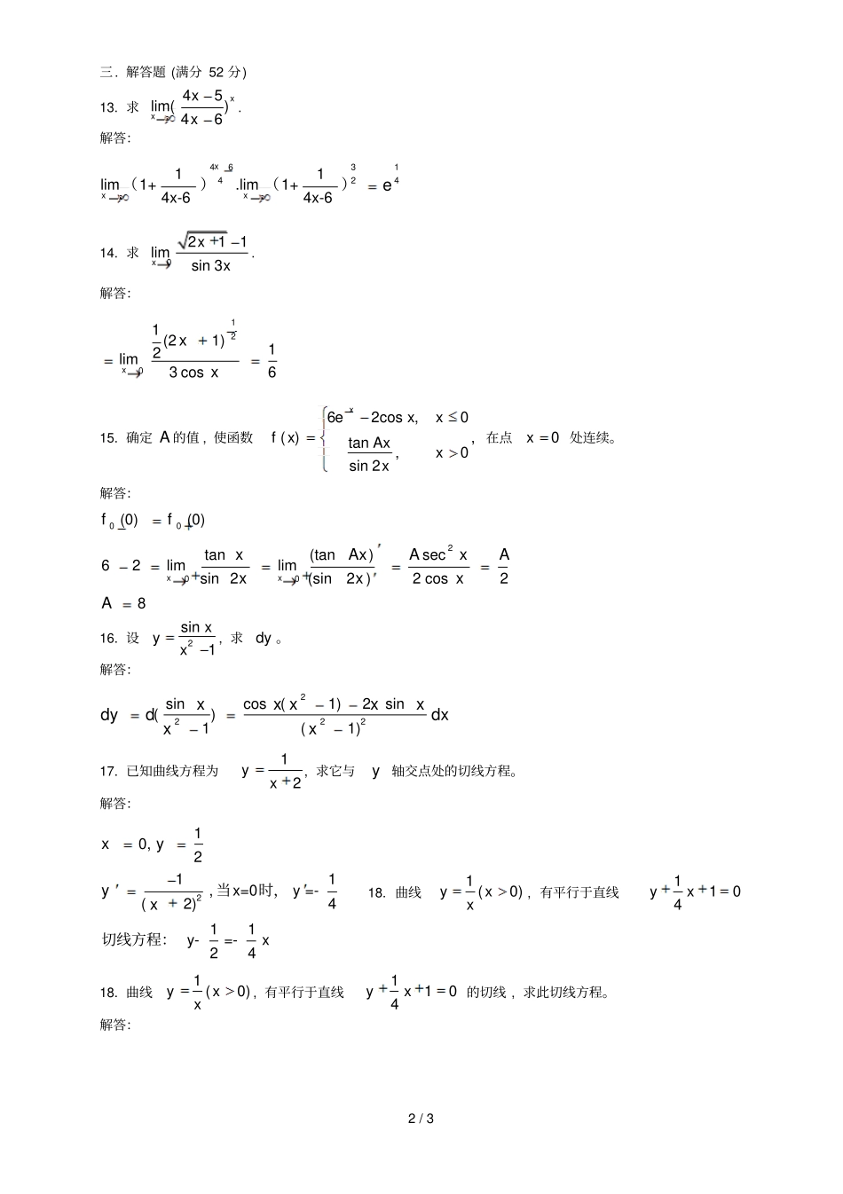
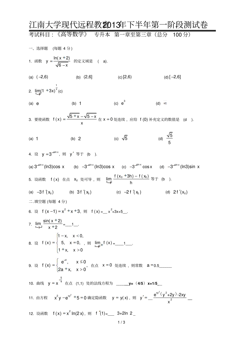
1 / 3 江南大学现代远程教育2013年下半年第一阶段测试卷考试科目 : 《高等数学》专升本 第一章至第三章(总分100 分)一、选择题(每题 4 分 ) 1. 函数ln(2)6xyx的定义域是( a). (a) ( 2,6)(b) (2,6](c)[2,6)(d) [ 2,6]2. 10lim(13 )xxx(c) (a) e(b) 1(c) 3e(d) 3. 要使函数55( )xxf xx在0x处连续 , 应给(0)f补充定义的数值是(d ). (a) 1(b) 2(c) 5(d) 554. 设sin3xy, 则y等于(b ). (a)sin3(ln3)cosxx(b) sin3(ln3)cosxx(c) sin3cosxx(d) sin3(ln3)sinxx5. 设函数( )f x在点0x处可导 , 则000(3 )()limhf xhf xh等于 (b ). (a) 03()fx(b) 03()fx(c) 02()fx(d) 02()fx二.填空题 (每题 4 分) 6. 设2(1)3f xxx, 则( )f x =__ x2+3x+5__. 7. 2sin(2)lim2xxx=___1__. 8. 设1,0,( )5,0,1,0xxf xxxx, 则0lim( )xf x =____1___. 9. 设,0( ),2,0xexf xaxx在点0x处连续 , 则常数a0.5______ 10. 曲线54yx在点(1,1) 处的法线方程为______y=(4/5)x+1/5__ 11. 由方程2250xyx ye确定隐函数( )yy x , 则y__2xy22ey +2y -2xyx()__12. 设函数2( )ln(2 )f xxx , 则(1)f=___ 3+2ln 2 _ 2 / 3 三. 解答题 (满分 52 分) 13. 求45lim()46xxxx. 解答:463142411lim (1+).lim (1+)4x-64x-6xxxe14. 求0211limsin 3xxx. 解答:1201 (21)12lim3 cos6xxx15. 确定 A 的值 , 使函数62cos ,0( ),tan,0sin 2xexxf xAxxx在点0x处连续。解答:00200(0)(0)tan(tan)sec62limlimsin 2(sin2 )2 cos28xxffxAxAxAxxxA16. 设2sin1xyx, 求dy 。解答:2222sincos(1)2sin()1(1)xx xxxdyddxxx17. 已知曲线方程为12yx, 求它与y轴交点处的切线方程。解答:210,211, 当x=0时, y =-4(2)11切线方程: y-=-x24xyyx18. 曲线1 (0)yxx, 有平行于直线1104yx18. 曲线1 (0)yxx, 有平行于直线1104yx的切线 , 求此切线方程。解答:3 / 3 21该切线斜率: k=-41y =-,当 y =k时, x=2( x0)x1曲线中: x=2,y=211y=-(x-2)+4219. 若( )f x 是奇函数 , 且(0)f存在 , 求0(8 )limxfxx。解答:00由于 f (x)是奇函数且f (0)存在,则 f (0)=0且 f ( x)在( 0)点连续,则f (8x)-f(0)f(8)(0)则有,lim=8 lim8(0)x8xxxffx

1、当您付费下载文档后,您只拥有了使用权限,并不意味着购买了版权,文档只能用于自身使用,不得用于其他商业用途(如 [转卖]进行直接盈利或[编辑后售卖]进行间接盈利)。
2、本站所有内容均由合作方或网友上传,本站不对文档的完整性、权威性及其观点立场正确性做任何保证或承诺!文档内容仅供研究参考,付费前请自行鉴别。
3、如文档内容存在违规,或者侵犯商业秘密、侵犯著作权等,请点击“违规举报”。

碎片内容

江南大学高等数学专升本第阶段测试题一

您可能关注的文档

确认删除?
VIP
微信客服
  • 扫码咨询
会员Q群
  • 会员专属群点击这里加入QQ群
客服邮箱
回到顶部