电脑桌面
添加小米粒文库到电脑桌面
安装后可以在桌面快捷访问

湖北宜昌2019-2020学年高一上学期期末联考数学试题含答案

湖北宜昌2019-2020学年高一上学期期末联考数学试题含答案_第1页
1/9
湖北宜昌2019-2020学年高一上学期期末联考数学试题含答案_第2页
2/9
湖北宜昌2019-2020学年高一上学期期末联考数学试题含答案_第3页
3/9
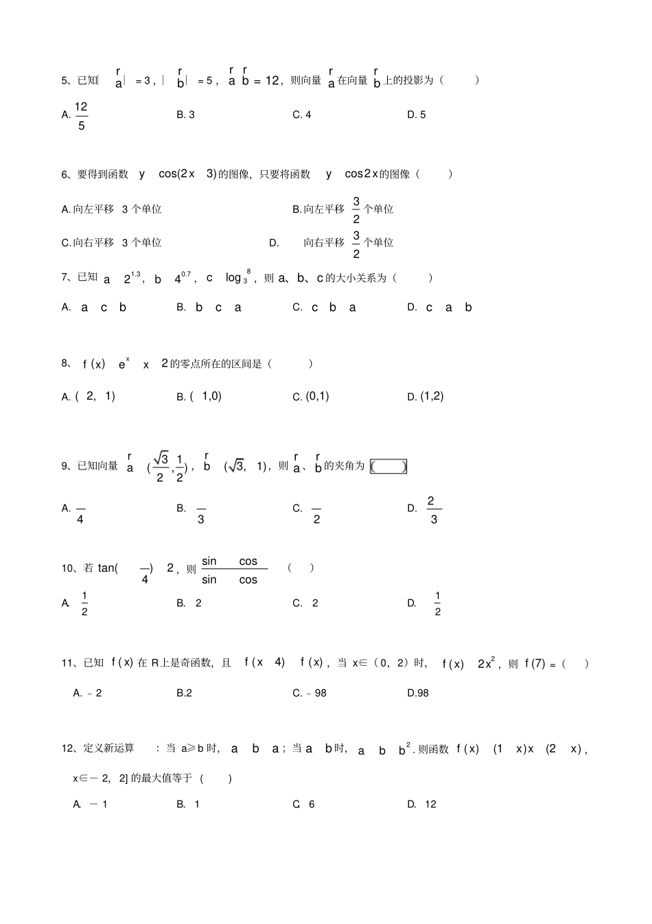
宜昌市部分示范高中教学协作体2017 年秋期末联考高一数学(全卷满分: 150 分考试时间: 120 分钟 )注意事项:1.答卷前,考生务必将自己的相关信息填写在规定的位置,并检查所持试卷是否有破损和印刷等问题。若试卷有问题请立即向监考教师请求更换。2.答题答在答题卡上对应的答题区域内,答在试题卷、草稿纸上的无效。3.考生必须保持答题卡的整洁。考试结束后,请将答题卡上交。一、选择题:本大题共12 个小题 , 每小题 5 分, 共 60 分 . 在每小题给出的四个选项中,只有一项是符合题目要求的 .1、已知 A={x | 21}x,xB={x | 21} ,则为()A. (-2 ,1)B. (-2,0 〕C.(0,1 )D.(- ∞, 1)2、 sin20 sin80cos160 sin10=()A. 21B. 23C. 21D. 233、下列命题正确个数为的是()① 对于任意向量 ar、 br、 cr,若 ar∥ br, br∥ cr,则 ar∥ cr② 若向量 ar与 br同向,且︳ ar︳>︳ br︳,则 ar> br③()()a bcab cr rrrr r④ 向量 ABuuuv与 CDuuuv是共线向量,则A、B、C、D四点一定共线A. 4个B. 3个C. 2 个D.0 个4、下列函数中,既是偶函数又在(0,+∞)上单调递增的是()A.lgyxB.cosyxC. yxD.sinyx5、已知︳ ar︳= 3 ,︳ br︳= 5 ,= 12a br r,则向量 ar在向量 br上的投影为()A. 125B. 3 C. 4 D. 56、要得到函数cos(23)yx的图像,只要将函数cos2yx的图像()A. 向左平移 3 个单位B.向左平移23 个单位C.向右平移 3 个单位 D.向右平移23 个单位7、已知1.32a,0.74b,83logc,则bca、 、的大小关系为()A. acbB. bcaC. cbaD. cab8、( )2xf xex的零点所在的区间是()A. ( 2, 1)B. ( 1,0)C. (0,1)D. (1,2)9、已知向量3 1(,)22ar,( 3,1)br,则 ar、 br的夹角为A.4B. 3C. 2D. 2310、若 tan()24,则 sincossincos()A. 12B. 2C.2D.1211、已知( )f x 在 R上是奇函数,且(4)( )f xfx ,当 x∈( 0,2)时,2( )2f xx ,则(7)f=()A. ﹣2 B.2 C.﹣98 D.9812、定义新运算:当 a≥b 时, aba ;当 ab 时,2abb . 则函数( )(1)(2)f xx xx ,x∈- 2,2] 的最大值等于 ( )A.- 1 B.1 C.6 D.12二、填空题(每题5 分,满分20 分,将答案填在答题纸上)13、函数1( )4xf xa的图象恒过定点P,则 P 点坐标是 ______ .14、已知扇形弧长为cm 的弧所对的圆心角为4,则...

1、当您付费下载文档后,您只拥有了使用权限,并不意味着购买了版权,文档只能用于自身使用,不得用于其他商业用途(如 [转卖]进行直接盈利或[编辑后售卖]进行间接盈利)。
2、本站所有内容均由合作方或网友上传,本站不对文档的完整性、权威性及其观点立场正确性做任何保证或承诺!文档内容仅供研究参考,付费前请自行鉴别。
3、如文档内容存在违规,或者侵犯商业秘密、侵犯著作权等,请点击“违规举报”。

碎片内容

湖北宜昌2019-2020学年高一上学期期末联考数学试题含答案

确认删除?
VIP
微信客服
  • 扫码咨询
会员Q群
  • 会员专属群点击这里加入QQ群
客服邮箱
回到顶部