电脑桌面
添加小米粒文库到电脑桌面
安装后可以在桌面快捷访问

化工原理板式塔和填料塔(精馏塔)课程设计

化工原理板式塔和填料塔(精馏塔)课程设计_第1页
1/13
化工原理板式塔和填料塔(精馏塔)课程设计_第2页
2/13
化工原理板式塔和填料塔(精馏塔)课程设计_第3页
3/13
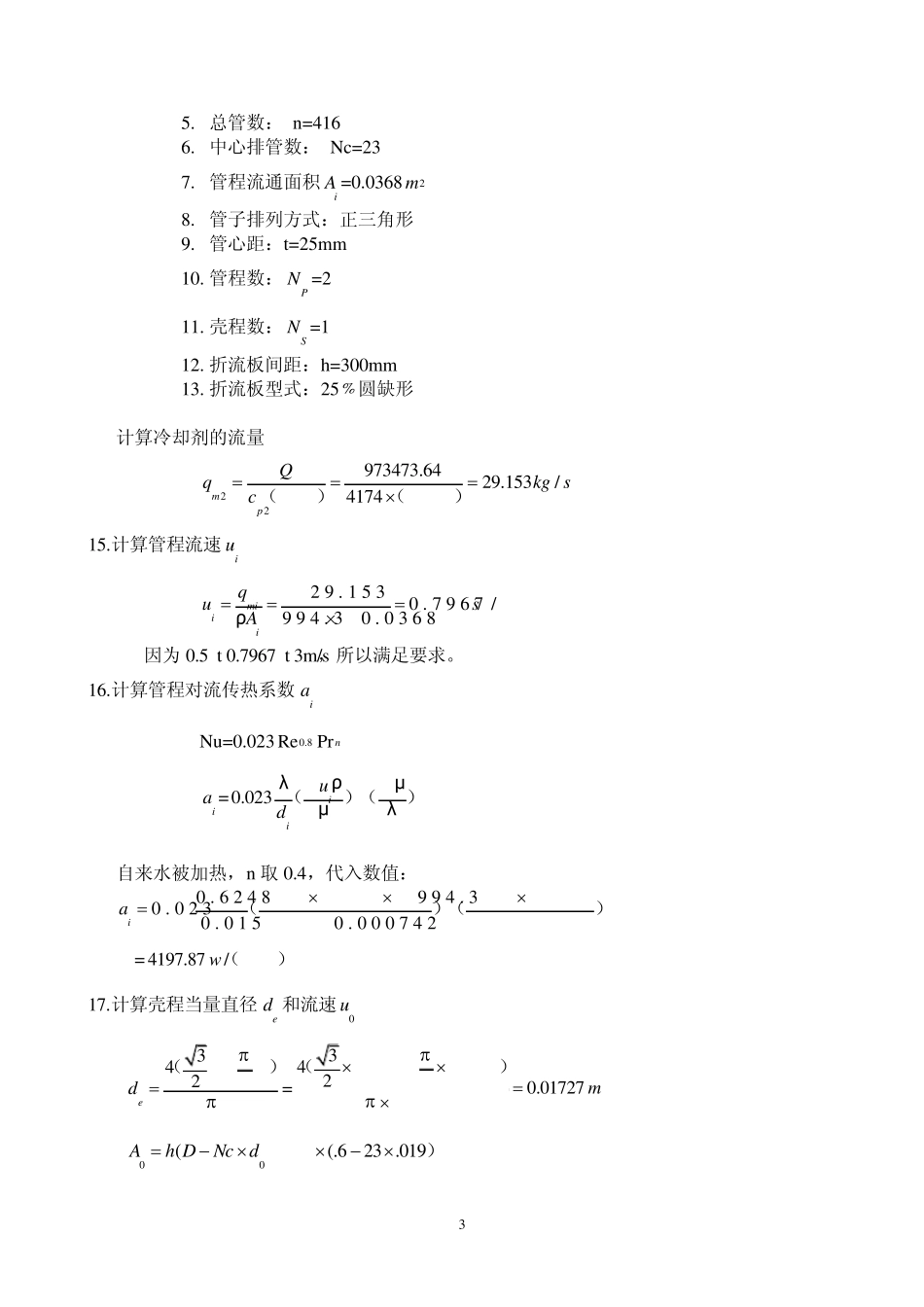
1 化工课程设计说明书 massachusetts institute of technology 一.目的 培养学生综合运用本门课程及有关先修课程的基础理论和基本知识去完成某项单元操作设备设计任务的实践能力。 二.目标 设计的设备必须在技术上是可行的,经济上是合理的,操作上是安全的,环境上是友好的。 三.题目 固定管板式冷却器的设计 四.设计条件 管程和壳程的压力均不大于0。6MPa,管程和壳程的压力降均不大于 30KPa。被冷却的物料为己烷,物料从正常温度(1T )被冷却,出口温度(2T )自定。冷却剂为自来软水,进口温度为30 C(1t),出口温度(2t)自定。 五.设计步骤 1. 方案设计 (1) 冷却剂的选用:自来软水 (2) 换热器型式的选择:固定管板式 (3) 流体壳程的选择:自来软水走管程,己烷走壳程 (4) 流体流动方向的选择:双管程+单壳程 2 . 工艺设计 (1) 查出己烷的正常沸点(进口温度) 1T = 68.74 C (2) 选定己烷的出口温度 2T =44 C (3) 选定冷却剂的出口温度 2t=38 C (4) 计算逆流传热的平均温度差 1212lnmttttt  逆=3868.7438ln4430(68.74)(44-30)=21.28 Co (5) 校正传热平均温度差 122168.74443.0933830TTRtt 211138300.206568.7430ttPTt 由( ,)R Pφ查表得 φ =0.93, 因为 0.85<0.93<0.95,满足要求。由此得: 2 mmtt折逆φ0.9321.28=19.79 Co (6) 计算定性温度mmTt和 12mT 121(T+T)=(68.74+44)=56.37C2o 12mt 121(t-t)=(30+38)=34C2o (7) 查出物料和冷却剂的物性参数 物料名称 己烷 质量流量 11400 /mqt d 比热容 12428.34pCJ kg k  粘度 0.00023 pa sµ 密度 3624.89/kg mρ 导热系数 110.1047 w mkλ 查出冷却剂的物性参数 密度 3994.3/kg mρ 粘度 0.00074 pa sμ 比热容 114174pCJ kg k 导热系数 110.6248 w m kλ (8) 计算热负荷 112428.34mpQq c1214001000(T-T)=(68.74-44)=973473.64J/S243600 (9) 根据总传热系数K 的大致范围,初选总传热系数0K =470W/(2m k ) (10) 初算传热面积0S 2009 7 3 4 7 3 . 6 41 0 4 . 6 44 7 01 9 . 7 9mQSmKt折 ( 1 1 ) 根据工艺条件,选取公称压力 P N = 1 . 0 M P a ( 1 2 ) 根...

1、当您付费下载文档后,您只拥有了使用权限,并不意味着购买了版权,文档只能用于自身使用,不得用于其他商业用途(如 [转卖]进行直接盈利或[编辑后售卖]进行间接盈利)。
2、本站所有内容均由合作方或网友上传,本站不对文档的完整性、权威性及其观点立场正确性做任何保证或承诺!文档内容仅供研究参考,付费前请自行鉴别。
3、如文档内容存在违规,或者侵犯商业秘密、侵犯著作权等,请点击“违规举报”。

碎片内容

化工原理板式塔和填料塔(精馏塔)课程设计

小辰+ 关注
实名认证
内容提供者

出售各种文档和资料

确认删除?
VIP
微信客服
  • 扫码咨询
会员Q群
  • 会员专属群点击这里加入QQ群
客服邮箱
回到顶部