电脑桌面
添加小米粒文库到电脑桌面
安装后可以在桌面快捷访问

天津市二级建造师执业资格考核认定合格人员汇总表

天津市二级建造师执业资格考核认定合格人员汇总表_第1页
1/41
天津市二级建造师执业资格考核认定合格人员汇总表_第2页
2/41
天津市二级建造师执业资格考核认定合格人员汇总表_第3页
3/41
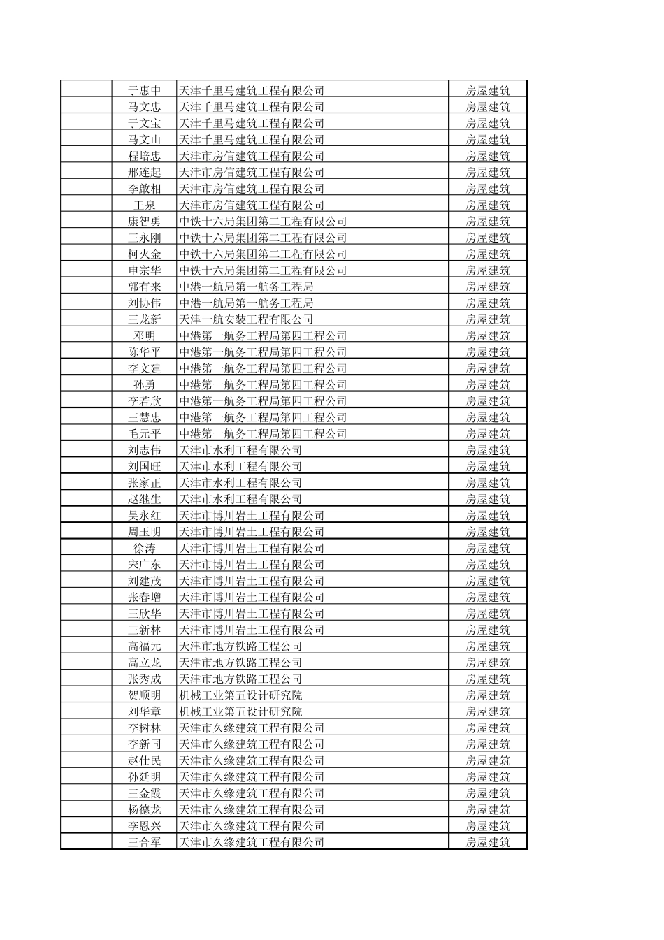
序 号姓 名单 位 名 称专 业1杨少明天津市宝坻区建筑工程总公司房屋建筑2刘建民天津市宝坻区建筑工程总公司房屋建筑3张瑞华天津市宝坻区建筑工程总公司房屋建筑4史丙瑞天津市宝坻区建筑工程总公司房屋建筑5艾书仿天津市宝坻区建筑工程总公司房屋建筑6张有臣天津市宝坻区建筑工程总公司房屋建筑7马国文天津市宝坻区建筑工程总公司房屋建筑8许万田天津市宝坻区建筑工程总公司房屋建筑9郑国富天津市宝坻区建筑工程总公司房屋建筑10冯登禄天津市宝坻区建筑工程总公司房屋建筑11邹万生天津市宝坻区建筑工程总公司房屋建筑12梁定一天津市宝坻区建筑工程总公司房屋建筑13董德丰天津市宝坻区建筑工程总公司房屋建筑14孟广福天津市宝坻区建筑工程总公司房屋建筑15郑宗志天津市宝坻区建筑工程总公司房屋建筑16于文忠天津五建建筑工程有限公司房屋建筑17王强天津五建建筑工程有限公司房屋建筑18刘凤军天津五建建筑工程有限公司房屋建筑19李建立天津市滨海建设工程有限公司房屋建筑20闫崙中国海洋石油总公司房屋建筑21邬灿金中国海洋石油总公司房屋建筑22李福民中国海洋石油总公司房屋建筑23杨慰严中国海洋石油总公司房屋建筑24卢恕中国海洋石油总公司房屋建筑25李化全中国海洋石油总公司房屋建筑26于晶中国海洋石油总公司房屋建筑27孙彪中国海洋石油总公司房屋建筑28金传宏中国海洋石油总公司房屋建筑29高辉天津市龙祥建材建设工程有限公司房屋建筑30王川建天津市龙祥建材建设工程有限公司房屋建筑31孙建国天津市龙祥建材建设工程有限公司房屋建筑32陈玉岐天津市龙祥建材建设工程有限公司房屋建筑33昝云森天津市龙祥建材建设工程有限公司房屋建筑34张立和天津市龙祥建材建设工程有限公司房屋建筑35郭青臣天津市龙祥建材建设工程有限公司房屋建筑36唐智勇天津市龙祥建材建设工程有限公司房屋建筑37徐维春天津市龙祥建材建设工程有限公司房屋建筑38李文瑾天津市龙祥建材建设工程有限公司房屋建筑39王文豹天津市东丽区建筑工程有限公司房屋建筑40许同森天津市东丽区建筑工程有限公司房屋建筑41刘峰天津市东丽区建筑工程有限公司房屋建筑42刘丽营天津市东丽区建筑工程有限公司房屋建筑43李凤明天津市汉沽区建筑工程总公司房屋建筑44李振月天津市汉沽区建筑工程总公司房屋建筑天津市二级建造师执业资格考核认定合格人员汇总表45宋连英天津市汉沽区建筑工程总公司房屋建筑46杨明成天津市汉沽区建筑工程总公司房屋建筑47蒋立功天津市汉沽区建筑工程总公司房屋建...

1、当您付费下载文档后,您只拥有了使用权限,并不意味着购买了版权,文档只能用于自身使用,不得用于其他商业用途(如 [转卖]进行直接盈利或[编辑后售卖]进行间接盈利)。
2、本站所有内容均由合作方或网友上传,本站不对文档的完整性、权威性及其观点立场正确性做任何保证或承诺!文档内容仅供研究参考,付费前请自行鉴别。
3、如文档内容存在违规,或者侵犯商业秘密、侵犯著作权等,请点击“违规举报”。

碎片内容

天津市二级建造师执业资格考核认定合格人员汇总表

小辰4+ 关注
实名认证
内容提供者

出售各种资料和文档

确认删除?
VIP
微信客服
  • 扫码咨询
会员Q群
  • 会员专属群点击这里加入QQ群
客服邮箱
回到顶部