电脑桌面
添加小米粒文库到电脑桌面
安装后可以在桌面快捷访问

2024年因式分解计算题专项练习VIP免费

2024年因式分解计算题专项练习_第1页
1/14
2024年因式分解计算题专项练习_第2页
2/14
2024年因式分解计算题专项练习_第3页
3/14
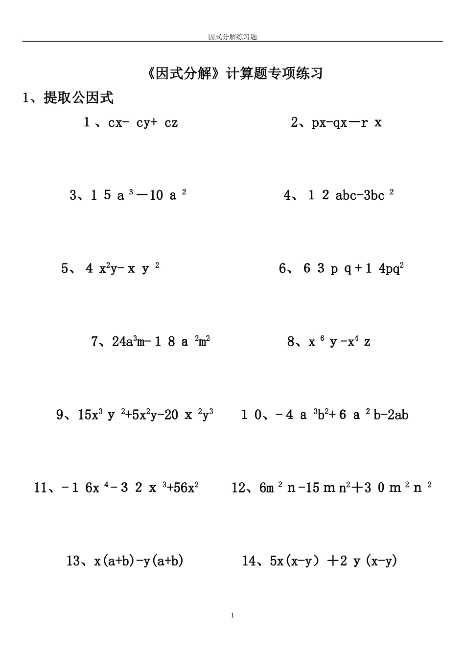
因式分解练习题《因式分解》计算题专项练习1、提取公因式1、cx-cy+cz2、px-qx-rx3、15a3-10a24、12abc-3bc25、4x2y-xy26、63pq+14pq27、24a3m-18a2m28、x6y-x4z9、15x3y2+5x2y-20x2y310、-4a3b2+6a2b-2ab11、-16x4-32x3+56x212、6m2n-15mn2+30m2n213、x(a+b)-y(a+b)14、5x(x-y)+2y(x-y)1因式分解练习题15、6q(p+q)-4p(p+q)16、(m+n)(p+q)-(m+n)(p-q)17、a(a-b)+(a-b)218、x(x-y)2-y(x+y)219、(2a+b)(2a-3b)-3a(2a+b)20、x(x+y)(x-y)-x(x+y)221、p(x-y)-q(y-x)22、m(a-3)+2(3-a)24、(a+b)(a-b)-(b+a)25、a(x-a)+b(a-x)-c(x-a)26、10a(x-y)2-5b(y-x)27、3(x-1)3y-(1-x)3z28、x(a-x)(a-y0-y(x-a)(y-a)29、-ab(a-b)2+a(b-a)22因式分解练习题30、2x(x+y)2-(x+y)331、21×3.14+62×3.14+17×3.1432、2.186×1.237-1.237×1.1862、运用公式法因式分解:1、a2-492、64-x23、1-36b24、m2-81n25、0.49p2-144q26、121x2-4y27、a2p2-b2q28、a2-x2y29、(m+n)2-n23因式分解练习题10、169(a-b)2-196(a+b)211、(2x+y)2-(x+2y)212、(a+b+c)2-(a+b-c)213、4(2p+3q)2-(3p-q)214、(x2+y2)2-x2y215、81a4-b416、8y4-2y217、3ax2-3ay418、m4-119、x2-2x+120、a2+8a+1621、1-4t+4t222、m2-14m+4923、b2-22b+12124、y2+y+25、25m2-80m+644因式分解练习题26、4a2+36a+8127、4p2-20pq+25q228、+xy+y229、25a4-40a2b2+16b430、36x4-12x2y+y231、a2b2-4ab+432、16-8xy+x2y233、(x+y)2+6(x+y)+934、a2-2a(b+c)+(b+c)235、4_12(x-y)+9(x-y)236、(m+n)2+4(m+n)+4m237、2xy-x2-y238、4xy2-4x2y-y35因式分解练习题39、3-6x+3x240、-a+2a2-a33、分组分解法因式分解:1、am+an+bm+bn2、xy-xz+y-z3、a2+ab+ac+bc4、ax-2bx+ay-2by5、4xy-3xz+8y-6z6、x3+3x2+3x+97、3xy-2x-12y+188、ab-5bc-2a2+10ac9、5ax+7ay-5bx-7by10、x3y+3x-2x2y2-6y11、6ax+15b2y2-6b2x-15ay212、7x2-3y+xy-21x6因式分解练习题13、3a2+bc-3ac-ab14、a2n+bn-an-abm15、x2-a2-2x-2a16、4a2+12ab+9b2-2517、4x2-4xy+y2-a218、1-m2-n2+2mn19、a-a320、x3y-xy321、4x3y3-9xy22、4x2-8x-12y-9y223、x2+9x+824、x2-10x+2425、x2+3x-1026、x2-3x-2827、a2+4a-2128、m2+4m-127因式分解练习题29、p2-8p+730、b2+11b+2831、x2y2+8xy+1232、a2b2-7ab+1033、m3-m2-20m34、3a3b-6a2b-45ab35、a6b-a2b536、256x4y6-81y2x437、38、39、40、41、42、8因式分解练习题43、44、45、46、47、48、49、50、51、52、53、54、55、56、9因式分解练习题57、58、59、(x4+x2-4)(x4+x2+3)+1060、x2y-y2z+z2x-x2z+y2x+z2y-2xyz61、(x+1)(x+2)(x+3)(x+6)+x262、1999x2-(19992-1)x-199963、(x+y-2xy)(x+y-2)+(xy-1)264、a2(b-c)+b2(c-a)+c2(a-b)10因式分解练习题65、x2+xy-2y2-x+7y-666、a2-b2+4a+2b+367、X4+6468、x4-7x2+169、x4+x2+2ax+1-a270、(1+y)2-2x2(1+y2)+x4(1-y)271、x3+6x2+11x+6.11因式分解练习题72、求证:913-324能被8整除。73、已知:|x+y+1|+|xy-3|=0求代数式xy3+x3y的值。74、把a2-4ab+3b2+2bc-c2因式分解。75、因式分解-3an-1+12an-12an+1(n>1的正整数).12因式分解练习题76、求证:对于自然数n,2n+4-2n能被30整除.77、分解因式(x+1)(x+3)(x+5)(x+7)-978、求证:两个奇数的平方差一定能被8整除。79、已知多项式分解因式后,有一因式是,请把多项式分解因式。13因式分解练习题80、已知x2+3x+6是多项式x4-6x3+mx2+nx+36的一个因式,试确定m,n的值,并求出它的其它因式。ﻫ14

1、当您付费下载文档后,您只拥有了使用权限,并不意味着购买了版权,文档只能用于自身使用,不得用于其他商业用途(如 [转卖]进行直接盈利或[编辑后售卖]进行间接盈利)。
2、本站所有内容均由合作方或网友上传,本站不对文档的完整性、权威性及其观点立场正确性做任何保证或承诺!文档内容仅供研究参考,付费前请自行鉴别。
3、如文档内容存在违规,或者侵犯商业秘密、侵犯著作权等,请点击“违规举报”。

碎片内容

2024年因式分解计算题专项练习

您可能关注的文档

确认删除?
VIP
微信客服
  • 扫码咨询
会员Q群
  • 会员专属群点击这里加入QQ群
客服邮箱
回到顶部