电脑桌面
添加小米粒文库到电脑桌面
安装后可以在桌面快捷访问

山东省2013年高考二本院校投档情况统计表

山东省2013年高考二本院校投档情况统计表_第1页
1/34
山东省2013年高考二本院校投档情况统计表_第2页
2/34
山东省2013年高考二本院校投档情况统计表_第3页
3/34
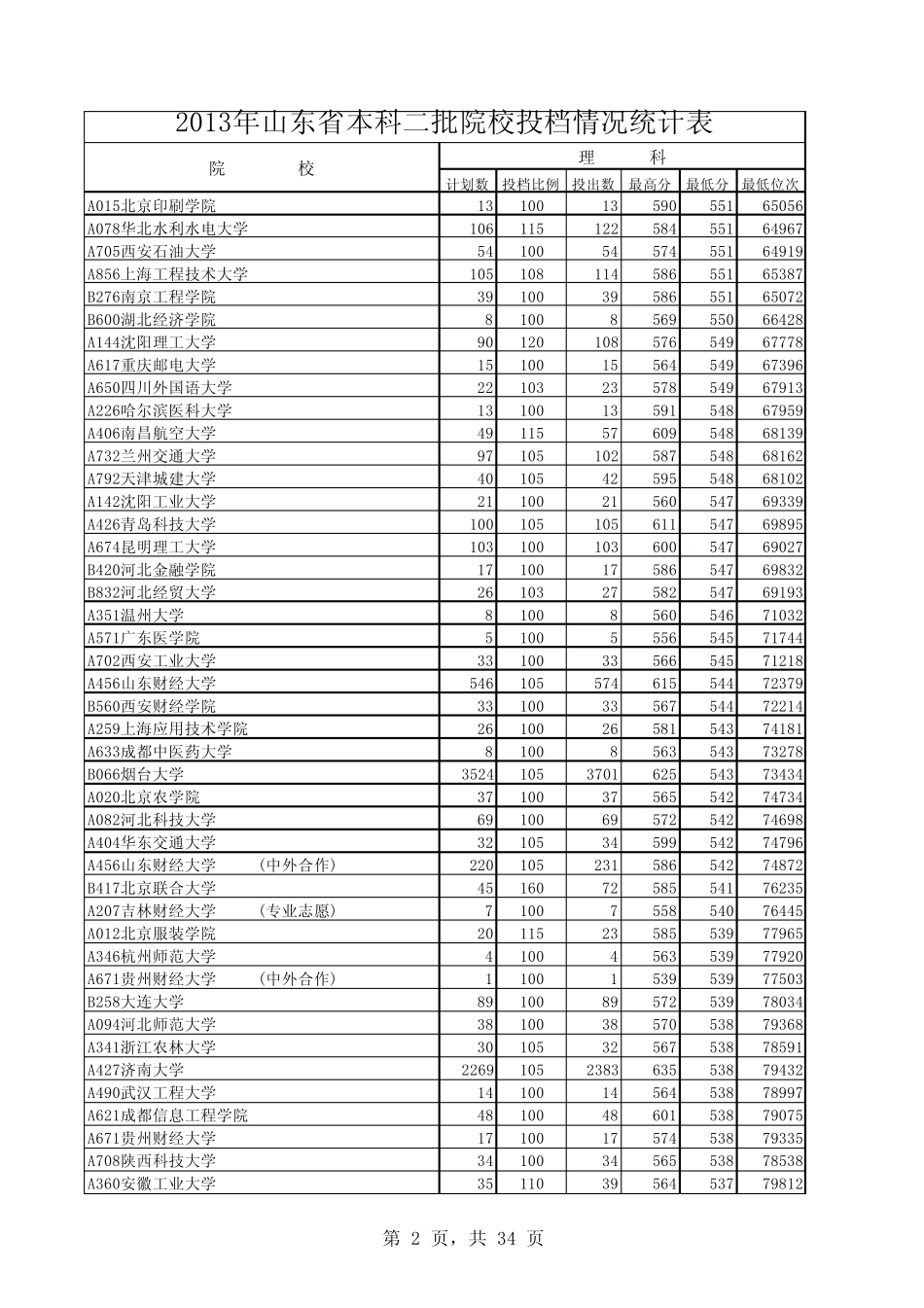
计划数投档比例投出数最高分最低分最低位次A016北京建筑大学 171001761358732215A366安徽医科大学 151001560358632865B639上海金融学院 291053161958335374A089河北医科大学 351053763557442758A724西安外国语大学 121051360357245285A278上海音乐学院 2100257357046461A592广东商学院 5110659257046583P006解放军理工大学 (定向培养)6100659657047056A172大连外国语大学 151001561656947554B232北京信息科技大学 151001559656749783B540广东金融学院 3100358156650745A037北京物资学院 201202459756551015A173东北财经大学 (专业志愿)191001958456551761A057天津科技大学 10410010461856452335A153沈阳建筑大学 301003060356452815A343温州医科大学 161001660056452309A220东北石油大学 161101859956352958A392福建医科大学 231002361056353019A207吉林财经大学 401004061956254019A264上海海洋大学 71658356254544A060天津理工大学 8100857656154909A150大连交通大学 681057262056154954A108山西大学 311053360256056500A143沈阳航空航天大学 9611010663156056656A058天津工业大学 16512019862355957084A065天津师范大学 121001256755957665A075河北大学 121201557655957314A114山西医科大学 391003960255957017B482浙江财经大学 251002557955957664A069天津商业大学 511005160155759671A390集美大学 401004060255759274A484河南财经政法大学 141001458055758944A631重庆医科大学 301003059855759536B835上海政法学院 211052359255759614A017北京石油化工学院 331103759655659795A315南京中医药大学 201002056555561763A689云南财经大学 451004558155561563A650四川外国语大学 (中外合作)2100255755462719A678昆明医科大学 111001157655461936A063天津中医药大学 211052359855363320A313徐州医学院 181001857255362841A345浙江师范大学 91101061055363033A616成都理工大学 441024558455363159A158大连海洋大学 5310053614552640622013年山东省本科二批院校投档情况统计表理 科院 校第 1 页,共 34 页计划数投档比例投出数最高分最低分最低位次2013年山东省本科二批院校投档情况统计表理 科院 校A015北京印刷学院 131001359055165056A078华北水利水电大学 10611512258455164967A705西安石油大学 541005457455164919A856上海工程技术大学 10510811458655165387B276南京工程学院 39100395...

1、当您付费下载文档后,您只拥有了使用权限,并不意味着购买了版权,文档只能用于自身使用,不得用于其他商业用途(如 [转卖]进行直接盈利或[编辑后售卖]进行间接盈利)。
2、本站所有内容均由合作方或网友上传,本站不对文档的完整性、权威性及其观点立场正确性做任何保证或承诺!文档内容仅供研究参考,付费前请自行鉴别。
3、如文档内容存在违规,或者侵犯商业秘密、侵犯著作权等,请点击“违规举报”。

碎片内容

山东省2013年高考二本院校投档情况统计表

您可能关注的文档

小辰7+ 关注
实名认证
内容提供者

出售各种资料和文档

确认删除?
VIP
微信客服
  • 扫码咨询
会员Q群
  • 会员专属群点击这里加入QQ群
客服邮箱
回到顶部