电脑桌面
添加小米粒文库到电脑桌面
安装后可以在桌面快捷访问

广东省地下水功能区划成果表印刷本

广东省地下水功能区划成果表印刷本_第1页
1/11
广东省地下水功能区划成果表印刷本_第2页
2/11
广东省地下水功能区划成果表印刷本_第3页
3/11
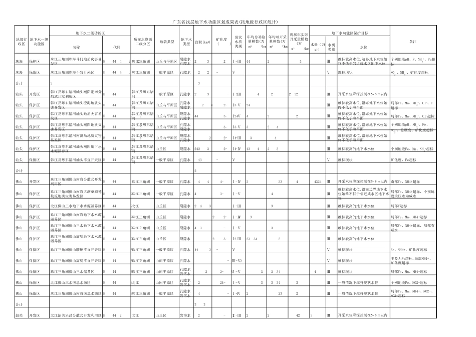
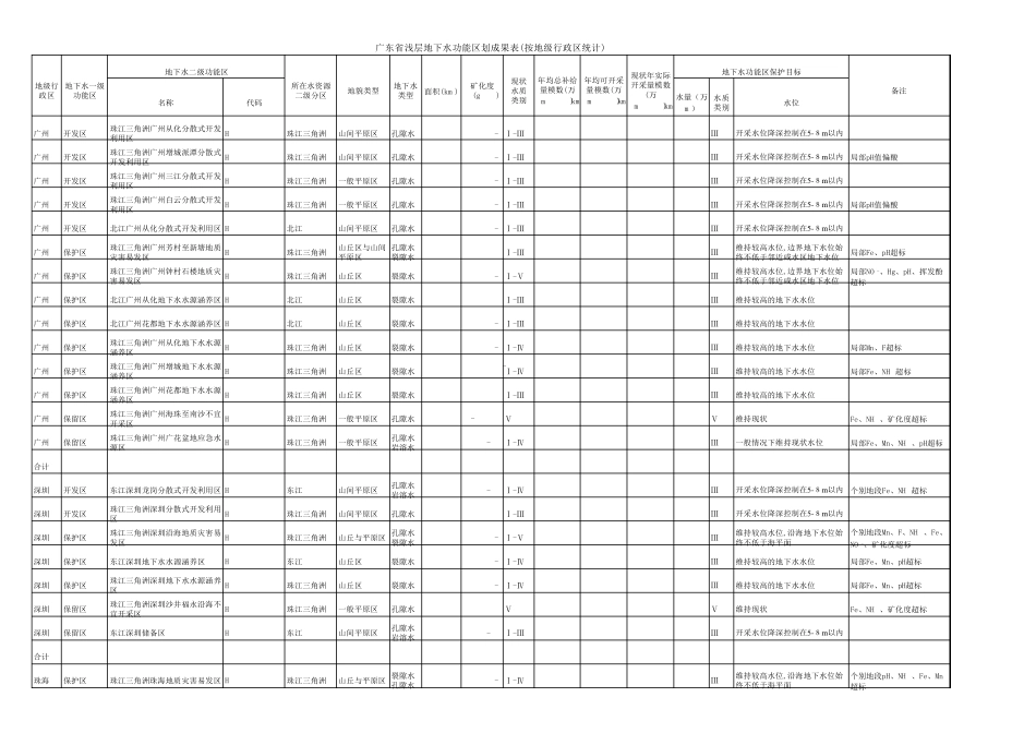
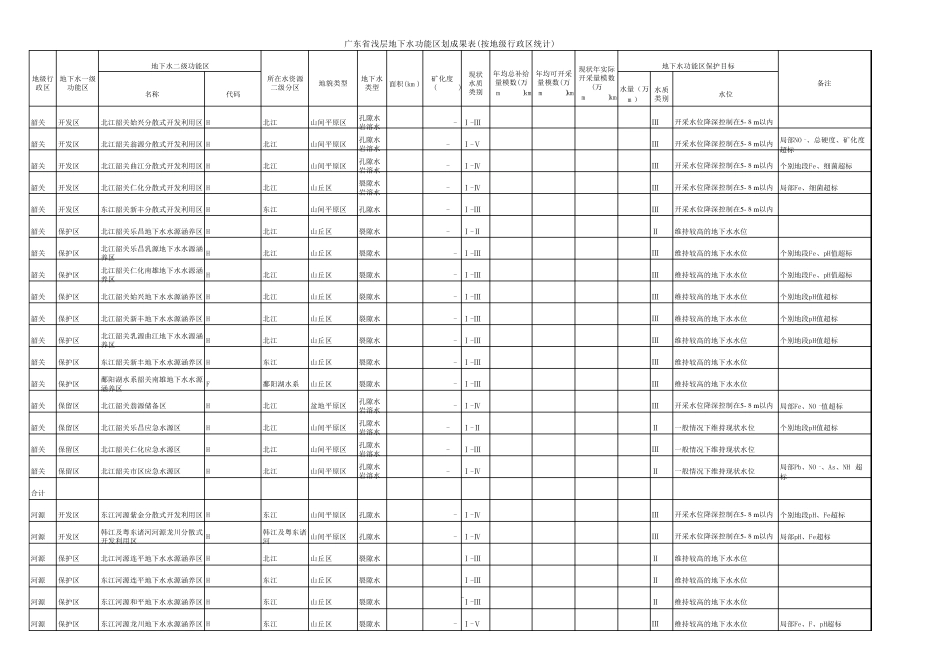
名称代码水量(万m3)水质类别水位广州开发区珠江三角洲广州从化分散式开发利用区H074401001Q01珠江三角洲山间平原区孔隙水237.960.06-0.23Ⅰ-Ⅲ27.0717.573.904163 Ⅲ开采水位降深控制在5-8m 以内广州开发区珠江三角洲广州增城派潭分散式开发利用区H074401001Q02珠江三角洲山间平原区孔隙水30.770.07-0.15Ⅰ-Ⅲ10.326.704.12205Ⅲ开采水位降深控制在5-8m 以内局部pH值偏酸广州开发区珠江三角洲广州三江分散式开发利用区H074401001Q03珠江三角洲一般平原区孔隙水235.010.13-0.43Ⅰ-Ⅲ20.8613.543.873169 Ⅲ开采水位降深控制在5-8m 以内广州开发区珠江三角洲广州白云分散式开发利用区H074401001Q04珠江三角洲一般平原区孔隙水230.520.02-0.23Ⅰ-Ⅲ20.8613.543.623108 Ⅲ开采水位降深控制在5-8m 以内局部pH值偏酸广州开发区北江广州从化分散式开发利用区H054401001Q01北江山间平原区孔隙水51.910.12-0.32Ⅰ-Ⅲ27.0717.575.78899Ⅲ开采水位降深控制在5-8m 以内广州保护区珠江三角洲广州芳村至新塘地质灾害易发区H074401002S01珠江三角洲山丘区与山间平原区孔隙水裂隙水275.74<0.1Ⅰ-Ⅲ22.3614.521.91Ⅲ维持较高水位,边界地下水位始终不低于邻近咸水区地下水位局部Fe、pH超标广州保护区珠江三角洲广州钟村石楼地质灾害易发区H074401002S02珠江三角洲山丘区裂隙水170.650.02-0.08Ⅰ-Ⅴ23.8615.49Ⅲ维持较高水位,边界地下水位始终不低于邻近咸水区地下水位局部NO3-、Hg、pH、挥发酚超标广州保护区北江广州从化地下水水源涵养区H054401002T01北江山丘区裂隙水91.15<0.1Ⅰ-Ⅲ30.2419.631.65Ⅲ维持较高的地下水水位广州保护区北江广州花都地下水水源涵养区H054401002T02北江山丘区裂隙水255.940.02-0.08Ⅰ-Ⅲ23.8615.491.37Ⅲ维持较高的地下水水位广州保护区珠江三角洲广州从化地下水水源涵养区H074401002T01珠江三角洲山丘区裂隙水1167.160.02-0.08Ⅰ-Ⅳ30.2419.63Ⅲ维持较高的地下水水位局部Mn、F超标广州保护区珠江三角洲广州增城地下水水源涵养区H074401002T02珠江三角洲山丘区裂隙水2119.930.025-0.11Ⅰ-Ⅳ26.5517.23Ⅲ维持较高的地下水水位局部Fe、NH4+超标广州保护区珠江三角洲广州花都地下水水源涵养区H074401002T03珠江三角洲山丘区裂隙水418.38<0.1Ⅰ-Ⅲ23.8615.49Ⅲ维持较高的地下水水位广州保留区珠江三角洲广州海珠至南沙不宜开采区H074401003U01珠江三角洲一般平原区孔隙水1185.281->10ⅤⅤ维持现状Fe、NH4+、矿化度超标广州保留...

1、当您付费下载文档后,您只拥有了使用权限,并不意味着购买了版权,文档只能用于自身使用,不得用于其他商业用途(如 [转卖]进行直接盈利或[编辑后售卖]进行间接盈利)。
2、本站所有内容均由合作方或网友上传,本站不对文档的完整性、权威性及其观点立场正确性做任何保证或承诺!文档内容仅供研究参考,付费前请自行鉴别。
3、如文档内容存在违规,或者侵犯商业秘密、侵犯著作权等,请点击“违规举报”。

碎片内容

广东省地下水功能区划成果表印刷本

小辰3+ 关注
实名认证
内容提供者

出售各种资料和文档

确认删除?
VIP
微信客服
  • 扫码咨询
会员Q群
  • 会员专属群点击这里加入QQ群
客服邮箱
回到顶部