电脑桌面
添加小米粒文库到电脑桌面
安装后可以在桌面快捷访问

数字信号处理经典例题解析VIP专享

数字信号处理经典例题解析_第1页
1/7
数字信号处理经典例题解析_第2页
2/7
数字信号处理经典例题解析_第3页
3/7
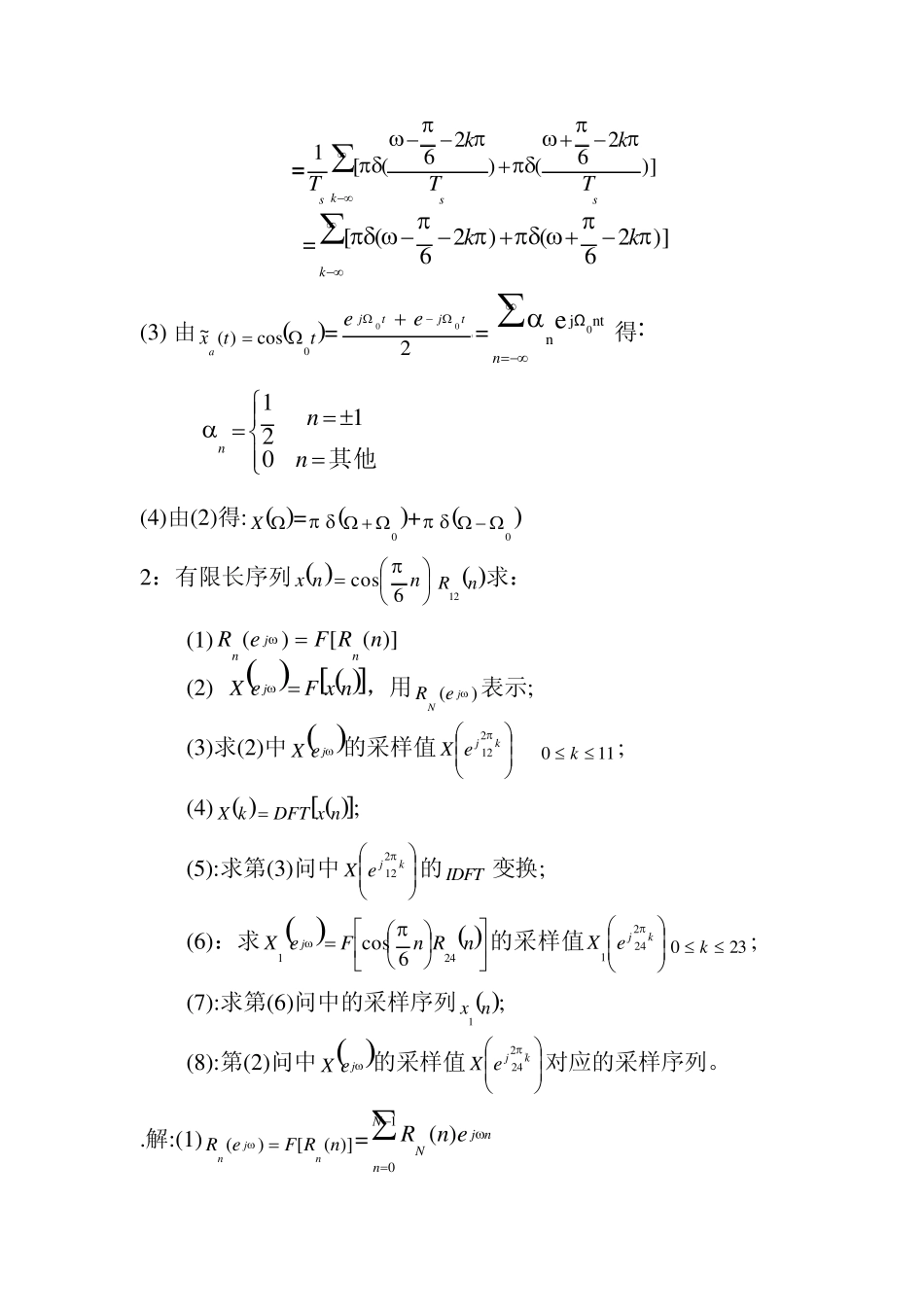
1:周期序列 nnx0cos~, 06, nx~是由)(~txat0cos 理想抽样而得。试求(1)  nx~的周期; (2)   nxFeXj~ (3)  txa~= nntjn0e Ω;求n (4)  txFXa~ 解:(1) 对于周期性序列 nnx0cos~ 因为 02 =6/2 =112 =KN 所以序列周期12N (2):由题意知  nx~是由 txa~理想抽样所得,设抽样间隔为sT ,抽样输出为 txaˆ; 易得 txFXa~tF0cos  ]2[00tjtjeeF = 0+ 0 由采样序列 nx~= ntxaˆ,由采样定理知:   nxFeXj~= sTaX/ˆ =ksssTkTXT)2(1 = kssTkXT)2(1 =)]26()26([1skssTkTkT =)]26()26([kkk (3) 由)(~txat0cos =200tjtjee= nntjn0e Ω得: 其他nnn0121 (4)由(2)得:  X= 0+ 0 2:有限长序列 nnx6cos  nR12求: (1))]([)(nRFeRnjn (2)   nxFeXj,用)(jN eR表示; (3)求(2)中 jeX的采样值kjeX122 110 k; (4)   nxDFTkX; (5):求第(3)问中kjeX122的IDFT 变换; (6):求  nRnFeXj2416cos 的采样值 kjeX2421230 k; (7):求第(6)问中的采样序列 nx1; (8):第(2)问中 jeX的采样值kjeX242对应的采样序列。 .解:(1))]([)(nRFeRnjn=10)(NnnjNenR =2/2/2/2/2/2/11jjNjNjjNjjNjeeeeeeee =)2/sin()2/sin(2/2/NeejNj 容易看出在主值周期内当0时)(jn eRN,当)10(2NkNk时)(jn eR=0 (2)根据公式      jjeYeXnynxF 21=deYeXjj)()(21)( 又由nF6cos =)]26()26([kkk则    ...

1、当您付费下载文档后,您只拥有了使用权限,并不意味着购买了版权,文档只能用于自身使用,不得用于其他商业用途(如 [转卖]进行直接盈利或[编辑后售卖]进行间接盈利)。
2、本站所有内容均由合作方或网友上传,本站不对文档的完整性、权威性及其观点立场正确性做任何保证或承诺!文档内容仅供研究参考,付费前请自行鉴别。
3、如文档内容存在违规,或者侵犯商业秘密、侵犯著作权等,请点击“违规举报”。

碎片内容

数字信号处理经典例题解析

确认删除?
VIP
微信客服
  • 扫码咨询
会员Q群
  • 会员专属群点击这里加入QQ群
客服邮箱
回到顶部