电脑桌面
添加小米粒文库到电脑桌面
安装后可以在桌面快捷访问

有理数乘法练习题纯计算

有理数乘法练习题纯计算_第1页
1/8
有理数乘法练习题纯计算_第2页
2/8
有理数乘法练习题纯计算_第3页
3/8
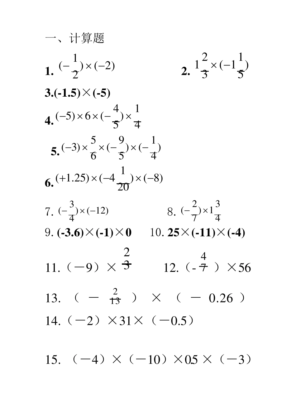
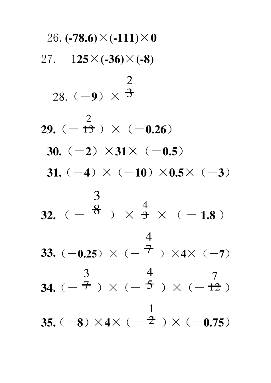
一、计算题 1 .)2()21( 2 .)511(321 3 .(-1 .5 )×(-5 ) 4 .41)54(6)5( 5 .)41()59(65)3( 6 .)8()2 014()2 5.1( 7.)1 2()43( 8.431)72( 9.(-3 .6 )×(-1 )×0 10.2 5 ×(-1 1 )×(-4 ) 1 1 .(-9 )× 32 1 2 .(- 74)×5 6 1 3 . ( -1 32) × ( - 0 .2 6 ) 1 4 .(-2 )×3 1 ×(-0 .5 ) 1 5 . (-4 )×(-1 0 )×0.5 ×(-3 ) 1 6 . (-83)× 34× (-1 .8 ) 1 7 .(-0 .2 5 )×(-74)×4 ×(-7 ) 1 8 . (-73)×(-54 )×(-1 27 ) 1 9 .(-8 )×4 ×(-21 )×(-0 .7 5 ) 2 0 . 4 ×(-9 6 )×(-0 .2 5 )× 4 81 21. 6 .8 6 8 ×(-5 )+6 .8 6 8 ×(-1 2 )+6 .8 6 8×1 8 22. 31 ×(-5)+ 31 ×(-13) 23.)5 6()1 4381174( 24.)3 6()65( 25.412)92( 26.(-7 8 .6 )×(-1 1 1 )×0 27. 12 5 ×(-3 6 )×(-8 ) 2 8 .(-9 )× 32 2 9 .(- 1 32)×(-0 .2 6 ) 3 0 .(-2 )×3 1 ×(-0 .5 ) 3 1 .(-4 )×(-1 0 )×0 .5 ×(-3 ) 3 2 . ( - 83) × 34× ( - 1 .8 ) 3 3 .(-0 .2 5 )×(- 74)×4 ×(-7 ) 3 4 .(- 73)×(- 54)×(- 1 27) 3 5 .(-8 )×4 ×(- 21)×(-0 .7 5 ) 3 6 .4 ×(-9 6 )×(-0 .2 5 )× 4 81 3 7 .)74(9 881)9 8()1 2 5.0()9 8( 3 8 .2 4)416532( 3 9 . 31×(-5 )+ 31×(-1 3 ) 4 0 .( 74-1 81 + 1 43 )×5 6 4 1 .( 65 ― 43 ― 97)×3 6 4 2 .(-3 6 )×( 94 + 65 - 1 27 ) 4 3 . 2 5 × 43-(-2 5 )× 21 +2 5 × 41 4 5 .(-6 6 )×〔1 2 22 1 -(- 31)+(- 1 15)〕 4 6 . 187×(-7 2 )+ 43 ×7 2 - 65×(-7 2 )+(- 97)×7 2 有理数除法 1 . 1 8 ÷(-3 ) 2 .(-2 4 )÷6 3 .(-5 7 )÷(-3 ) 4 .(- 53)÷ 52 5 .(-4 2 )÷(-6 ) 6 .(+ 215 )÷(- 73) 7 .(- 139)÷9 8 . 0 .2 5 ÷(- 81) 9 .-3 6 ÷(-1 31 )÷(-32 ) 1 0 .(-1 )÷(-4 )÷74 1 1 . 3 ÷(-76 )×(-97) 1 2 . 0 ÷[(-3 41 )×(-7 )] 1 3 . -3 ÷(31-41) 1 4 .(-2 4 76)÷(-6 ) 1 5 . 2 ÷(5 -1 8 )× 181 1 6 . 1 31÷(-3 )×(-31) 1 7 . 87×(-143)÷(-83) 1 8 . (43-87 )÷(-65) 1 9 .-3 .5 ×(61-0 .5 )×73÷21 2 0 .-1 72÷(-1 65 )×1 83×(-7 ) 2 1 . 56×(-31 -21 )÷45 2 2 75÷(-2 52 )-75×125-35÷4 2 3 ( -3 ) × ( -4 ) ÷( -6 ) 2 4 . -1 .5 3 ×0 .7 5 -0 .5 3 ×(43) 2 5 . 1 ÷(3161 )×21 2 6 . 1 0-1÷(3161 ) ÷1 21 2 7 . 8+(―41 )―5―(―0.25) 28.7 21×1 43 ÷(-9+19) 29. 25×43 +(―25)×21+25×(-41) 30.(-79)÷2 41+94×(-29)

1、当您付费下载文档后,您只拥有了使用权限,并不意味着购买了版权,文档只能用于自身使用,不得用于其他商业用途(如 [转卖]进行直接盈利或[编辑后售卖]进行间接盈利)。
2、本站所有内容均由合作方或网友上传,本站不对文档的完整性、权威性及其观点立场正确性做任何保证或承诺!文档内容仅供研究参考,付费前请自行鉴别。
3、如文档内容存在违规,或者侵犯商业秘密、侵犯著作权等,请点击“违规举报”。

碎片内容

有理数乘法练习题纯计算

小辰6+ 关注
实名认证
内容提供者

出售各种资料和文档

相关文档

确认删除?
VIP
微信客服
  • 扫码咨询
会员Q群
  • 会员专属群点击这里加入QQ群
客服邮箱
回到顶部