电脑桌面
添加小米粒文库到电脑桌面
安装后可以在桌面快捷访问

有理数混合运算100题(含答案解析)

有理数混合运算100题(含答案解析)_第1页
1/13
有理数混合运算100题(含答案解析)_第2页
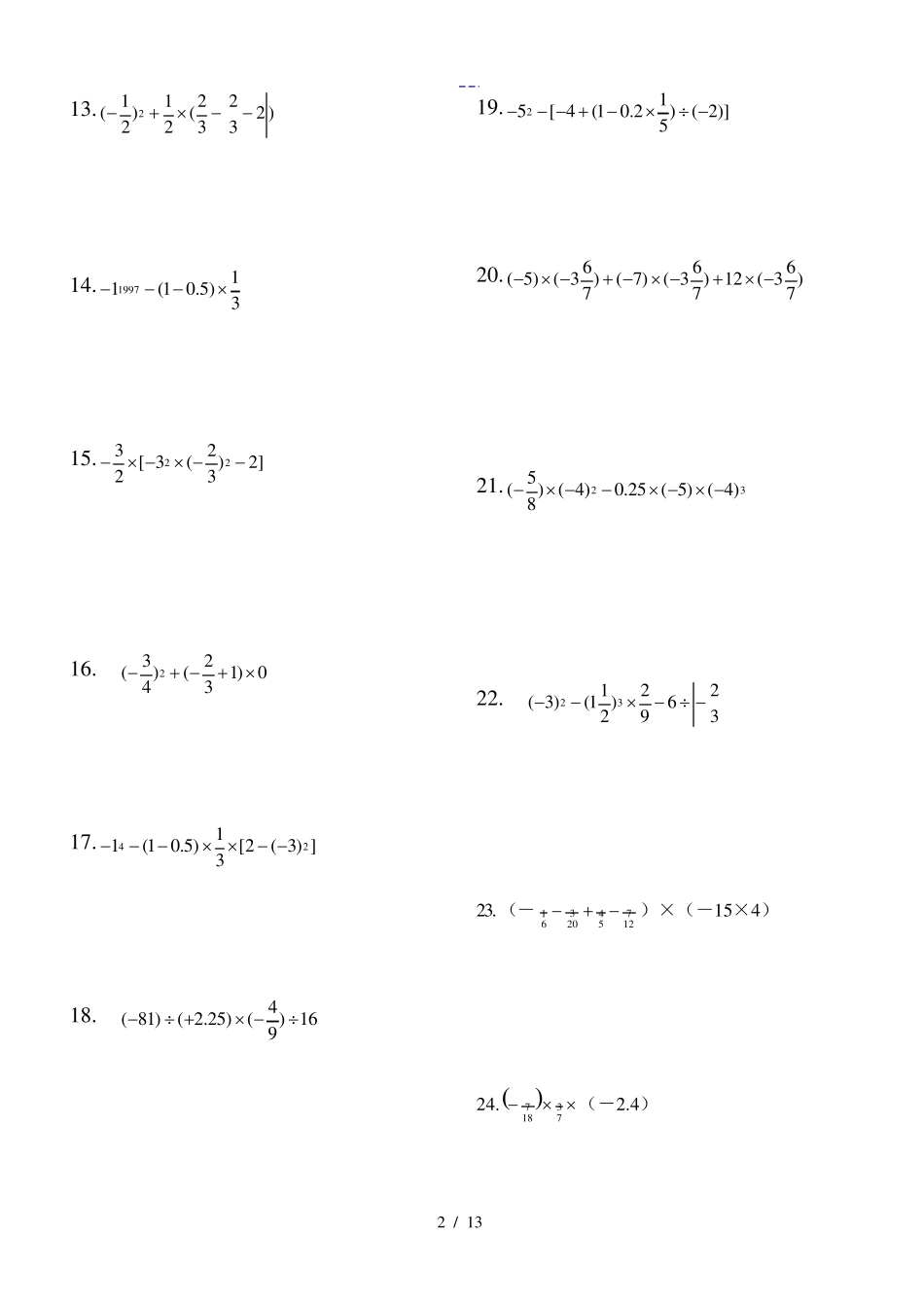
2/13
有理数混合运算100题(含答案解析)_第3页
3/13
1 / 1 3 有理数混合运算1 0 0 题(有答案) 1 .2( 3 )2  2 . 12411()()()23523    3 . 11( 1 .5 )42 .7 5( 5)42  4 . 8( 5 )6 3   5 . 3145()2   6 . 25()()( 4 .9 )0 .656   7 .22( 1 0 )5()5   8 . 323( 5 )()5  9 、25( 6 )( 4 )( 8 )    1 0 . 1612()(2 )472  1 1 .2( 1 65 03)( 2 )5  1 2 . 32( 6 ) 8( 2 )( 4 )5    2 / 13 13. 21122()(2 )2233 14. 199711(1 0.5)3 15. 2232[ 3()2]23   16. 232()(1) 043  17. 4211(1 0.5)[2( 3) ]3  18. 4( 81)( 2.25)() 169   19. 215[ 4(1 0.2)( 2)]5    20. 666( 5) ( 3 )( 7)( 3 ) 12 ( 3 )777     21. 235() ( 4)0.25 ( 5) ( 4)8    22. 23122( 3)(1 )6293  23. (-1275420361)×(-15×4) 24.73187(-2.4) 3 / 1 3 2 5 . 2 ÷(-73 )×74 ÷(-571 ) 2 6 . [1 521 -(141 ÷152 +321 )]÷(-181 ) 2 7 .51 ×(-5 )÷(-51 )×5 2 8 . -(31 -2 11 +1 43 -72 )÷(-4 21 ) 2 9 .-1 3 ×32 -0 .3 4 ×72 +31 ×(-1 3 )-75 ×0 .3 4 3 0 .(-1 3 )×(-1 3 4 )×1 31 ×(-6 71 ) 3 1 .(-487 )-(-521 )+(-441 )-381 3 2 .(-1 6 -5 0 +352 )÷(-2 ) 3 3 .(-0 .5 )-(-341 )+6 .7 5 -521 3 4 . 1 7 8 -8 7 .2 1 +4 32 12 +5 32 11 9 -1 2 .7 9 3 5 .(-6 )×(-4 )+(-3 2 )÷(-8 )-3 36.-72 -(-21 )+|-121 | 4 / 13 37.(-9)×(-4)+ (-60)÷12 38. [(-149 )-175 +218 ]÷(-421 ) 39. -|-3|÷10-(-15)×31 40.-153 ×(327 -165 )÷2 21 41.(231 -321 +11817 )÷(-161 )×(-7) 42. 232 +34 43. 32×42×52 44.2×23 -232...

1、当您付费下载文档后,您只拥有了使用权限,并不意味着购买了版权,文档只能用于自身使用,不得用于其他商业用途(如 [转卖]进行直接盈利或[编辑后售卖]进行间接盈利)。
2、本站所有内容均由合作方或网友上传,本站不对文档的完整性、权威性及其观点立场正确性做任何保证或承诺!文档内容仅供研究参考,付费前请自行鉴别。
3、如文档内容存在违规,或者侵犯商业秘密、侵犯著作权等,请点击“违规举报”。

碎片内容

有理数混合运算100题(含答案解析)

您可能关注的文档

小辰4+ 关注
实名认证
内容提供者

出售各种资料和文档

确认删除?
VIP
微信客服
  • 扫码咨询
会员Q群
  • 会员专属群点击这里加入QQ群
客服邮箱
回到顶部