电脑桌面
添加小米粒文库到电脑桌面
安装后可以在桌面快捷访问

有理数混合运算100题(有答案解析)

有理数混合运算100题(有答案解析)_第1页
1/16
有理数混合运算100题(有答案解析)_第2页
2/16
有理数混合运算100题(有答案解析)_第3页
3/16
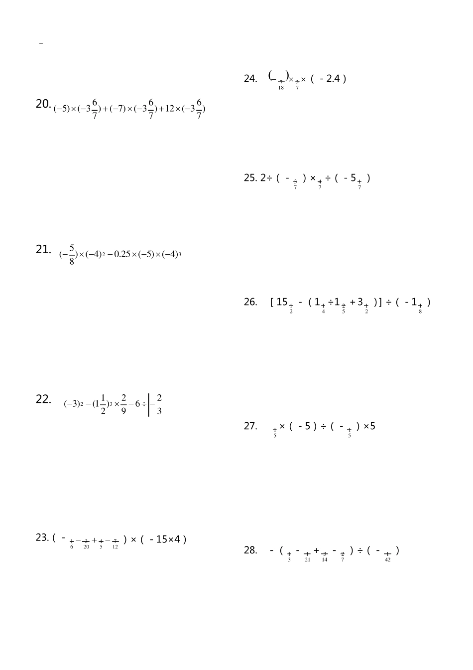
_ 有 理 数 混 合运算 100 题(有 答案) 1.2( 3 )2  2. 12411()()()23523    3. 11( 1 .5 )42 .7 5( 5)42  4. 8( 5 )6 3   5. 3145()2   6. 25()()( 4 .9 )0 .656   7.22( 1 0 )5()5   8. 323( 5 )()5  9、25( 6 )( 4 )( 8 )    _ 10. 1612()(2)472  11.2( 16503 )( 2)5  12. 32( 6) 8( 2)( 4)5    13. 21122()(2 )2233 14. 199711(1 0.5)3 15. 2232[ 3()2]23   16. 232()(1) 043  17. 4211(1 0.5)[2( 3) ]3  18. 4( 81)( 2.25)() 169   19. 215[ 4(1 0.2)( 2)]5    _ 20. 666( 5 ) ( 3)( 7 )( 3) 1 2( 3)777     21. 235() ( 4 )0 .2 5( 5 ) ( 4 )8    22. 23122( 3 )(1)6293  23.(-1 27542 0361) ×(- 15×4) 24. 731 87(- 2.4) 25. 2÷(-73 ) ×74 ÷(- 571 ) 26. [ 1521 - (141 ÷152 + 321 )] ÷(- 181 ) 27. 51 ×(- 5) ÷(-51 ) ×5 28. - (31 -2 11 +1 43 -72 ) ÷(-4 21 ) _ 29.- 13×32 - 0.34×72 +31 ×(- 13) -75 ×0.34 30.(- 13) ×(- 134) ×1 31 ×(-6 71 ) 31.(- 487 ) - (- 521 ) +(- 441 ) - 381 32.(- 16- 50+352 ) ÷ (- 2) 33.(- 0.5) - (- 341 ) +6.75- 521 34. 178- 87.21+432 12 +532 11 9 - 12.79 35.(- 6) ×(- 4)+(- 32)÷ (- 8)- 3 36.-72 - (-21 )+|- 121 | 37.(- 9) ×(- 4)+ (- 60)÷ 12 38. [(-1 49 )- 175 +2 18 ]÷ (-4 21 ) _ 39. - |- 3|÷10- ( - 15) ×31 40.- 153 ×(3 27 -1 65 ) ÷221 41.( 231 - 321 +11 81 7 ) ÷( - 161 ) ×( - 7) 42. 23 2 + 34 43. 32×42×52 44. 2×23 - 232  45、...

1、当您付费下载文档后,您只拥有了使用权限,并不意味着购买了版权,文档只能用于自身使用,不得用于其他商业用途(如 [转卖]进行直接盈利或[编辑后售卖]进行间接盈利)。
2、本站所有内容均由合作方或网友上传,本站不对文档的完整性、权威性及其观点立场正确性做任何保证或承诺!文档内容仅供研究参考,付费前请自行鉴别。
3、如文档内容存在违规,或者侵犯商业秘密、侵犯著作权等,请点击“违规举报”。

碎片内容

有理数混合运算100题(有答案解析)

您可能关注的文档

小辰7+ 关注
实名认证
内容提供者

出售各种资料和文档

确认删除?
VIP
微信客服
  • 扫码咨询
会员Q群
  • 会员专属群点击这里加入QQ群
客服邮箱
回到顶部