电脑桌面
添加小米粒文库到电脑桌面
安装后可以在桌面快捷访问

重庆科技学院概率与数理统计复习题及答案

重庆科技学院概率与数理统计复习题及答案_第1页
1/22
重庆科技学院概率与数理统计复习题及答案_第2页
2/22
重庆科技学院概率与数理统计复习题及答案_第3页
3/22
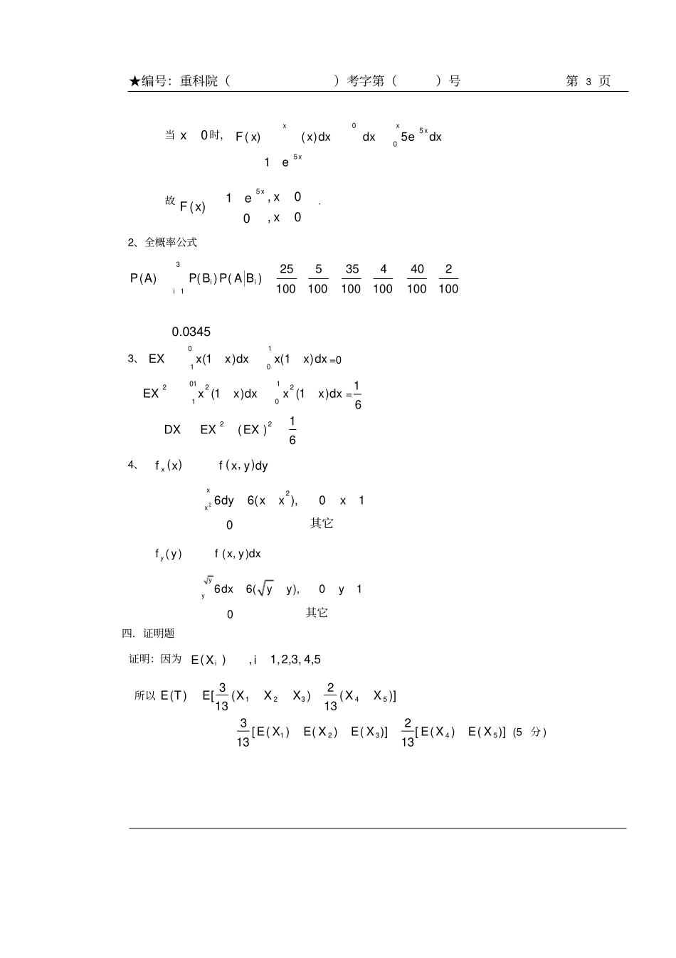
★编号:重科院()考字第()号第1 页复习题一一、选择题1.设随机变量 X 的概率密度21( )01xxf xx,则=()。A.1 B. 12C. -1D.322.掷一枚质地均匀的骰子,则在出现偶数点的条件下出现4 点的概率为()。A. 12B. 23C. 16D. 133.设)(~),(~22221221nn,2221 ,独立,则~2221()。A .)(~22221nB. ~2221)1(2 nC. 2212 ~ ( )t nD.~2221)(212nn4.若随机变量12YXX ,且12,XX 相互独立。~(0,1)iXN(1,2i),则()。A.~(0,1)YNB. ~(0,2)YNC. Y 不服从正态分布D.~(1,1)YN5.设)4,1(~ NX,则{01.6}PX=()。A.0.3094 B. 0.1457C. 0.3541D. 0.2543二、填空题 1 .设有 5 个元件,其中有 2 件次品,今从中任取出1 件为次品的概率为2.设,A B 为互不相容的随机事件,( )0.1,()0.7,P AP B则()P ABU3.设()D X =5, ( )D Y =8,,X Y 相互独立。则()D XY4.设随机变量 X 的概率密度其它,010,1)(xxf则0.2P X三、计算题1.设某种灯泡的寿命是随机变量X ,其概率密度函数为5 ,0( )0,0xBexf xx(1)确定常数 B(2)求{0.2}P X(3)求分布函数( )F x 。2.甲、乙、丙三个工厂生产同一种产品, 每个厂的产量分别占总产量的40%,35%,★编号:重科院()考字第()号第2 页25%,这三个厂的次品率分别为0.02, 0.04,0.05。现从三个厂生产的一批产品中任取一件,求恰好取到次品的概率是多少? 3 .设连续型随机变量 X 的概率密度110( )1010xxf xxx其它,求(),()E XD X 。4.设二维随机变量 (,)X Y 的联合分布密度26, 01( , )0xyxxf x y其它分别求随机变量 X 和随机变量 Y 的边缘密度函数。四.证明题设12345,,,,XXXXX 是来自正态总体的一个样本, 总体均值为(为未知参数)。证明:1234532()()1313TXXXXX是的无偏估计量。参考答案一、选择题(1)A (2)D (3)D (4)B (5)A 二、填空题(1)0.4 (2)0.8 (3)13 (4) 0.8 三、计算题(本大题共6 小题,每小题10 分,总计60 分)1、(1)0501( )0BB15xx dxdxedx故 B=5 。(2)510.2(0.2)50.3679.xP Xedxe(3) 当 x<0 时,F(x)=0; ★编号:重科院()考字第()号第3 页当0x时,xxxxedxedxdxxxF500515)()(故00,,01)(5xxexFx . 2、全概率公式31255354402( )()()100100100100100100iiiP AP B P A B0.03453、0110)1()1(dxxxdxxxEX=0 10110222)1()1(dxxxdxxxEX=6161)(22EXEXDX4、( )...

1、当您付费下载文档后,您只拥有了使用权限,并不意味着购买了版权,文档只能用于自身使用,不得用于其他商业用途(如 [转卖]进行直接盈利或[编辑后售卖]进行间接盈利)。
2、本站所有内容均由合作方或网友上传,本站不对文档的完整性、权威性及其观点立场正确性做任何保证或承诺!文档内容仅供研究参考,付费前请自行鉴别。
3、如文档内容存在违规,或者侵犯商业秘密、侵犯著作权等,请点击“违规举报”。

碎片内容

重庆科技学院概率与数理统计复习题及答案

您可能关注的文档

文库响当当+ 关注
实名认证
内容提供者

该用户很懒,什么也没介绍

相关文档

确认删除?
VIP
微信客服
  • 扫码咨询
会员Q群
  • 会员专属群点击这里加入QQ群
客服邮箱
回到顶部