电脑桌面
添加小米粒文库到电脑桌面
安装后可以在桌面快捷访问

2024年流体力学B离线作业VIP免费

2024年流体力学B离线作业_第1页
1/23
2024年流体力学B离线作业_第2页
2/23
2024年流体力学B离线作业_第3页
3/23
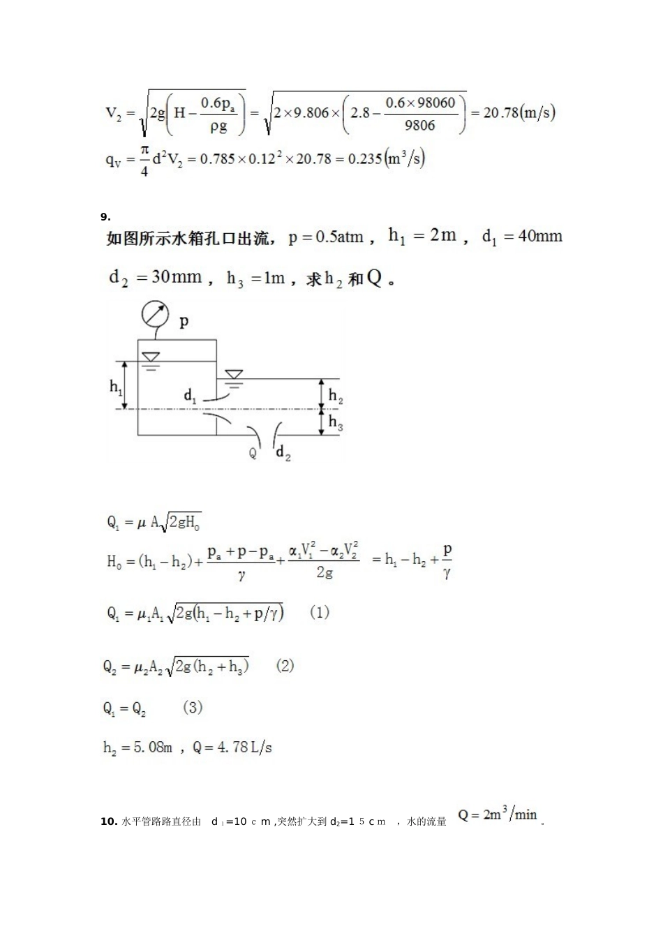
流体力学第一次作业二、主观题(共5道小题)6.7.8.有一贮水装置如图所示,贮水池足够大,当阀门关闭时,压强计读数为2.8个大气压强。而当将阀门全开,水从管中流出时,压强计读数是0.6个大气压强,试求当水管直径9.10.水平管路路直径由d1=10cm,突然扩大到d2=15cm,水的流量。(1)试求突然扩大的局部水头损失;(2)试求突然扩大前后的压强水头之差。流体力学第二次作业二、主观题(共16道小题)6.在流体力学当中,三个主要的力学模型是指哪三个?答:(1)连续介质;(2)无粘性流体;(3)不可压缩流体。7.参8.9.10.在距离为δ的两平行壁面之间充满动力粘度为μ的液体,在液体中有一边长为L的薄板以速度V沿薄板所在平面内运动。假定沿铅直方向的速度分布是直线规律:(1)当薄板距下侧壁面距离为h时,求薄板运动时的液体阻力?(2)若h可变,求h为多大时,薄板运动阻力最小?最小阻力为多少?:11.圆弧形闸门长b=5m,圆心角,半径R=4m,如图所示。若弧形闸门的转轴与水面齐平,求作用在弧形闸门上的总压力及其作用点的位置。12.13.如图所示的U形压差计测量弯管的局部水头损失系数ζ。已知管径14.今要以长L=80m,内径d=50mm的水平光滑管道输油,若输油流量要15.16.试述流体静压强的两个重要特性。流体静压力的方向沿作用面的内法线方向;静止流体中任一点的流体静压强大小与其作用面在空间的方位无关。17.何谓流线?试写出流线的微分方程式。流场中某一瞬时流体质点的速度方向线;18.粘性流体在圆管中作层流流动时,其速度分布与切应力分布有何规律?答(简):速度分布为抛物线分布,切应力分布为线性分布。19.紊流分成哪三个区,沿程阻力系数各有什么特点?20.一个圆柱体沿管道内壁下滑,圆柱体直径21.如图,一弧形闸门宽2m,圆心角流体力学第三次作业一、主观题(共14道小题)1.一股由喷管流出的自由射流,沿水平方向冲入固定导流片水平入口,如图所示。水流截面积2.水平管路直径由d1=10cm,突然扩大到d2=15cm,水的流量(1)试求突然扩大的局部水头损失;(2)试求突然扩大前后的压强水头之差。3.两水库的水面高差H=25m,用管1和管2串联接通,不计局部损失,求流量。如果将管3与管2并联,如图,这时各管流量各为多少?已知各管长度和管径分别为4.如图,水箱上有两个完全相同的孔口,H1=6m,H2=2m,试求密封容器上的计示压强p。5.流体静力学的基本方程式的几何意义是什么?6.在均匀流过流断面上,压强分布有何规律?7.粘性流体的流动可以分为哪两种流动状态?为什么雷诺数可以用来判断流态?8.尼古拉兹实验曲线图中,可以分为哪五个区域?在五个区域中,λ与哪些因素有关?9.有两个同心圆筒,长10.如图,矩形闸门宽度B=3m,上缘A处设有固定铰轴,已知11.大管直径d1=5m,小管直径d2=2m,已知大管中过流断面上的速度分布为式中r表示点所在半径。试求管中流量及小管中的平均速度。12.如图所示,水以V=10m/s的速度从内径为50mm的喷管中喷出,喷管的一端则用螺栓固定在内径为100mm水管的法兰上。如不计损失,试求作用在连接螺栓上的拉力。13.采用如图所示的装置测定900弯头的局部阻力系数14.如图所示的具有并联、串联管路的虹吸管,已知流体力学第四次作业三、主观题(共12道小题)1.流体静压强的方向必然是沿着作用面的内法线方向。2.均匀流过流断面上压强分布服从于水静力学规律。3.流线不能相交(驻点处除外),也不能是折线,因为流场内任一固定点在同一瞬间只能有一个速度向量,流线只能是一条光滑的曲线或直线。4.圆管层流的沿程阻力系数仅与雷诺数有关,且成反比,而和管壁粗糙无关。5.液体质点的运动是极不规则的,各部分流体相互剧烈掺混,这种流动状态称为紊流。6.7.8.9.10.11.12.流体力学第五次作业三、主观题(共11道小题)1.流体受压,体积缩小,密度增大的性质,称为流体的压缩性;流体受热,体积膨胀,密度减少的性质,称为流体的热胀性。2.液体静压强分布规律只适用于静止、同种、连续液体。3.气体自孔口、管路或条缝向外喷射所形成的流动,称为气体淹没射流。4.静压、动压和位压之和称为总压5.速度的大小、方向或分布发生变化而引起的能量损失,称为局部损失。6.论述尼古拉兹实验的结论和意义。7.8.9.10.11.

1、当您付费下载文档后,您只拥有了使用权限,并不意味着购买了版权,文档只能用于自身使用,不得用于其他商业用途(如 [转卖]进行直接盈利或[编辑后售卖]进行间接盈利)。
2、本站所有内容均由合作方或网友上传,本站不对文档的完整性、权威性及其观点立场正确性做任何保证或承诺!文档内容仅供研究参考,付费前请自行鉴别。
3、如文档内容存在违规,或者侵犯商业秘密、侵犯著作权等,请点击“违规举报”。

碎片内容

2024年流体力学B离线作业

您可能关注的文档

山水人家+ 关注
实名认证
内容提供者

读万卷书,行万里路。

确认删除?
VIP
微信客服
  • 扫码咨询
会员Q群
  • 会员专属群点击这里加入QQ群
客服邮箱
回到顶部