电脑桌面
添加小米粒文库到电脑桌面
安装后可以在桌面快捷访问

现已颁布的全部安全生产行业标准(20042011)VIP专享

现已颁布的全部安全生产行业标准(20042011)_第1页
1/9
现已颁布的全部安全生产行业标准(20042011)_第2页
2/9
现已颁布的全部安全生产行业标准(20042011)_第3页
3/9
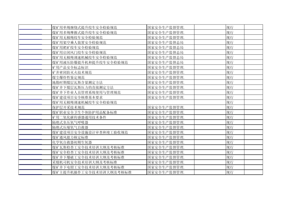
标准编号标准名称发布部门实施日期状态AQ1008-2007矿山救护规程国家安全生产监督总局 2008-1-1 现行AQ1009-2007矿山救护队质量标准化考核规范国家安全生产监督总局 2008-1-1 现行AQ1010-2005选煤厂安全规程国家安全生产监督总局 2005-9-1 现行AQ1011-2005煤矿在用主通风机系统安全检测检验规范国家安全生产监督总局 2005-8-1 现行AQ1012-2005煤矿在用主排水系统安全检测检验规范国家安全生产监督管理.2005-8-1 现行AQ1013-2005煤矿在用空气压缩机安全检测检验规范国家安全生产监督管理.2005-8-1 现行AQ1014-2005煤矿在用摩擦式提升机系统安全检测检验规范国家安全生产监督总局 2005-8-1 现行AQ1015-2005煤矿在用缠绕式提升机系统安全检测检验规范国家安全生产监督总局 2005-8-1 现行AQ1016-2005煤矿在用提升绞车系统安全检测检验规范国家安全生产监督总局 2005-8-1 现行AQ1017-2005煤矿井下安全标志国家安全生产监督总局 2006-3-1 现行AQ1018-2006矿井瓦斯涌出量预测方法国家安全生产监督总局 2006-5-1 现行AQ/T1019-2006煤层自然发火标志气体色谱分析及指标优选方法国家安全生产监督管理.2006-11-1现行AQ1020-2006煤矿井下粉尘综合防治技术规范国家安全生产监督管理.2006-12-1现行AQ1021-2006煤矿采掘工作面高压喷雾降尘技术规范国家安全生产监督管理.2006-12-1现行AQ1022-2006煤矿用袋式除尘器国家安全生产监督总局 2006-12-1现行AQ1023-2006煤矿井下低压供电系统及装备通用安全技术要求国家安全生产监督总局 2006-12-1现行AQ1024-2006煤与瓦斯突出矿井鉴定规范国家安全生产监督总局.2006-12-1现行AQ1025-2006矿井瓦斯等级鉴定规范国家安全生产监督管理.2006-12-1现行AQ1026-2006煤矿瓦斯抽采基本指标国家安全生产监督总局.2006-12-1现行AQ1027-2006煤矿瓦斯抽放规范国家安全生产监督总局 2006-12-1现行AQ1028-2006煤矿井工开采通用技术条件国家安全生产监督总局 2006-12-1现行AQ1029-2007煤矿安全监控系统及检测仪器使用管理规范国家安全生产监督总局 2007-4-1 现行AQ1030-2007煤矿用运输绞车安全检验规范国家安全生产监督总局 2007-4-1 现行AQ1031-2007煤矿用凿井绞车安全检验规范国家安全生产监督总局 2007-4-1 现行AQ1032-2007煤矿用JTK型提升绞车安全检验规范国家安全生产监督管理.2007-4-1 现行AQ1033-2007煤矿用JTP型提升绞车安全检验规范国家安全生产监督管理.2007-4-1 现行AQ1034-2007煤矿用带式制动提...

1、当您付费下载文档后,您只拥有了使用权限,并不意味着购买了版权,文档只能用于自身使用,不得用于其他商业用途(如 [转卖]进行直接盈利或[编辑后售卖]进行间接盈利)。
2、本站所有内容均由合作方或网友上传,本站不对文档的完整性、权威性及其观点立场正确性做任何保证或承诺!文档内容仅供研究参考,付费前请自行鉴别。
3、如文档内容存在违规,或者侵犯商业秘密、侵犯著作权等,请点击“违规举报”。

碎片内容

现已颁布的全部安全生产行业标准(20042011)

小辰2+ 关注
实名认证
内容提供者

出售各种资料和文档

确认删除?
VIP
微信客服
  • 扫码咨询
会员Q群
  • 会员专属群点击这里加入QQ群
客服邮箱
回到顶部