电脑桌面
添加小米粒文库到电脑桌面
安装后可以在桌面快捷访问

第三章习题和答案

第三章习题和答案_第1页
1/16
第三章习题和答案_第2页
2/16
第三章习题和答案_第3页
3/16
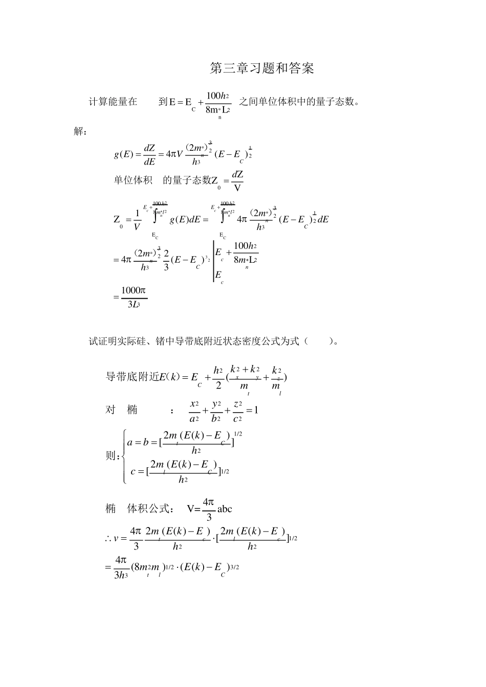
第三章习题和答案 1. 计算能量在E=Ec到2C*2n100EE8m Lh 之间单位体积中的量子态数。 解: 2. 试证明实际硅、锗中导带底附近状态密度公式为式( 3-6)。 2222CC3231*22301001003881*2203EE23*22332( )4()ZZV21Z( )4()100224()8L310003ccnnnChhEEm lm lnCcnCncmdZg EVEEdEhdmg E dEEEdEVhhEmEEmhEL()单位体积内的量子态数()()22222222221/221/22()212( ( ))[]2( ( ))[]xyzCtltClCkkkhE kEmmxyzabcm E kEabhm E kEch 导带底附近( )对于椭球方程: 则:1/22221/23/234V=abc32( ( ))2( ( ))4[]34(8)( ( ))3tclctlCm E kEm E kEvhhm mE kEh 椭球体积公式: 21/21/2321/21/2343(8)( ( ))322(8)( ( ))tlCtlCdvm mE kEdEhm mE kEdEh 3. 当E-EF为1.5k0T,4k0T, 10k0T时,分别用费米分布函数和玻耳兹曼分布函数计算电子占据各该能级的概率。 费米能级 费米函数 玻尔兹曼分布函数 1.5k0T 0.182 0.223 4k0T 0.018 0.0183 10k0T 4. 画出-78oC、室温(27 oC)、500 oC三个温度下的费米分布函数曲线,并进行比较。 y=(1.38065e-23)*(273.15-78)*log(1./x-1);(图中红色) y=(1.38065e-23)*(273.15+27)*log(1./x-1); (图中粗蓝色) 21/21/2321/21/2321/21/233/221/22*23~dZZ2VdV2=2V(8)( ( ))1s22V(8)( ( ))Z( )=S4(8)( ( ))(2)(8)tlCtlCtlCdntlndntlEEdEdm mE kEdEhm mE kEdEdhg EdEdES Vm mE kEhmSm mmmsm m在空间内的量子态数又因为,导带极值不是 个,而是 个,则:若令: 则有:13FEE TkEEeEfF011)(TkEEFeEf0)(51054.451054.4y=(1.38065e-23)*(273.15+300)*log(1./x-1); (图中细蓝色) 5. 利用表3-2中的m*n,m*p数值,计算硅、锗、砷化镓在室温下的NC , NV以及本征载流子的浓度。 Ge:Nc=1.05×1019cm-3 Nv=5.7×1018cm-3 Ni=2.0×1013cm-3 Si:Nc=2.80×1019cm-3 Nv=1.1×1019cm-3 Ni=7.8×109cm-3 GaAs: Nc=4.5×1017cm-3 Nv=8.1×1018cm-3 Ni=2.3×106cm-3 evEmmmmGaAsevEmmmmSievEmmmmGeeNNnhTmkNhTmkNgpngpngpnkoTEvcipVnCg428.1;47.0;068.0:12.1;...

1、当您付费下载文档后,您只拥有了使用权限,并不意味着购买了版权,文档只能用于自身使用,不得用于其他商业用途(如 [转卖]进行直接盈利或[编辑后售卖]进行间接盈利)。
2、本站所有内容均由合作方或网友上传,本站不对文档的完整性、权威性及其观点立场正确性做任何保证或承诺!文档内容仅供研究参考,付费前请自行鉴别。
3、如文档内容存在违规,或者侵犯商业秘密、侵犯著作权等,请点击“违规举报”。

碎片内容

第三章习题和答案

您可能关注的文档

确认删除?
VIP
微信客服
  • 扫码咨询
会员Q群
  • 会员专属群点击这里加入QQ群
客服邮箱
回到顶部