电脑桌面
添加小米粒文库到电脑桌面
安装后可以在桌面快捷访问

第二章控制系统的数学模型

第二章控制系统的数学模型_第1页
1/47
第二章控制系统的数学模型_第2页
2/47
第二章控制系统的数学模型_第3页
3/47
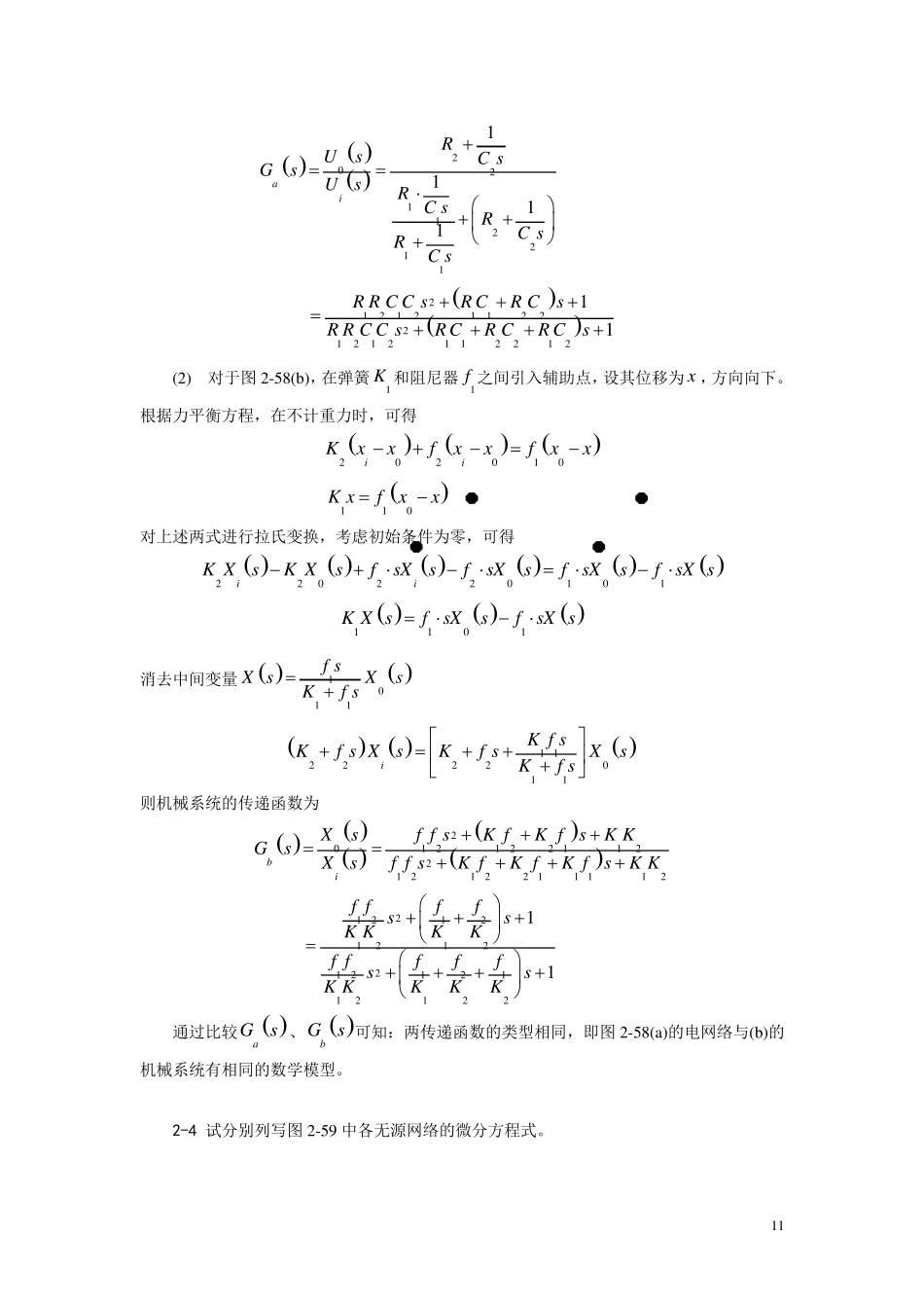
9 第二章 控制系统的数学模型 2-1 在图1-22 的液位自动控制系统中,设容器横截面积为F ,希望液位为0c 。若液体高度变化率与液体流量差12QQ成正比,试列写以液位为输出量的微分方程式。 解 本题研究建立液位控制系统的微分方程数学模型。 当12QQ时,液位的高度为0c ;当12QQ时,液位的高度c 将发生变化。 由于液体高度变化率与液体流量差12QQ成正比,所以有 12ddcFQQt  则以液位为输出量的微分方程式为 12d1dcQQtF 2-2 设机械系统如图2-57 所示,其中ix 是输入位移,0x 是输出位移。试分别写出各系统的微分方程。 图2-57 机械系统 解 本题研究建立机械系统的微分方程数学模型。 (1) 对于 2-57(a)所示系统,根据力平衡方程,在不计重力时,可得 10200ifxxf xmx 则系统的微分方程式为 2001212ddddddixxxmfffttt (2) 对于 2-57(b)所示系统,在上部分弹簧与阻尼器之间取辅助点 A ,并设A 点位移为 10 x ,方向向下。根据力平衡方程,在不计重力时,可得下列方程 10iKxxf xx 200K xf xx 消去中间变量 x ,由于 201iK xKxx, 201iKxxxK 201iKxxxK 故有 12011011020iK K xK fxK fxfK xfK xfK x 则系统的微分方程式为 0121201ddddixxf KKK K xK ftt (3) 对于 2-57(c)所示系统,根据力平衡方程,在不计重力时,可得 10020iiKxxf xxK x 则系统的微分方程式为 01201ddddiixxfKKxfK xtt 2-3 试证明图 2-58(a)的电网络与(b)的机械系统有相同的数学模型。 (a) (b) 图 2-58 电网络与机械系统 解 本题研究用拉氏变换法建立系统的传递函数数学模型。 (1) 对于图 2-58(a),根据复数阻抗的方法可得电网络的传递函数为 11    2021122111111aiRUsC sGsUsR C sRC sRC s 2121211222121211221211R R C C sR CR CsR R C C sR CR CR Cs (2) 对于图2-58(b),在弹簧1K 和阻尼器1f 之间引入辅助点,设其位移为x ,方向向下。根据力平衡方程,在不计重力时,可得 202010iiKxxfxxfxx 110K xfxx 对上述两式进行拉氏变换,考虑初始条件为零,可得       220220101iiK XsK XsfsXsfs...

1、当您付费下载文档后,您只拥有了使用权限,并不意味着购买了版权,文档只能用于自身使用,不得用于其他商业用途(如 [转卖]进行直接盈利或[编辑后售卖]进行间接盈利)。
2、本站所有内容均由合作方或网友上传,本站不对文档的完整性、权威性及其观点立场正确性做任何保证或承诺!文档内容仅供研究参考,付费前请自行鉴别。
3、如文档内容存在违规,或者侵犯商业秘密、侵犯著作权等,请点击“违规举报”。

碎片内容

第二章控制系统的数学模型

小辰6+ 关注
实名认证
内容提供者

出售各种资料和文档

确认删除?
VIP
微信客服
  • 扫码咨询
会员Q群
  • 会员专属群点击这里加入QQ群
客服邮箱
回到顶部