电脑桌面
添加小米粒文库到电脑桌面
安装后可以在桌面快捷访问

第二节_偏导数及其在经济分析中的应用

第二节_偏导数及其在经济分析中的应用_第1页
1/6
第二节_偏导数及其在经济分析中的应用_第2页
2/6
第二节_偏导数及其在经济分析中的应用_第3页
3/6
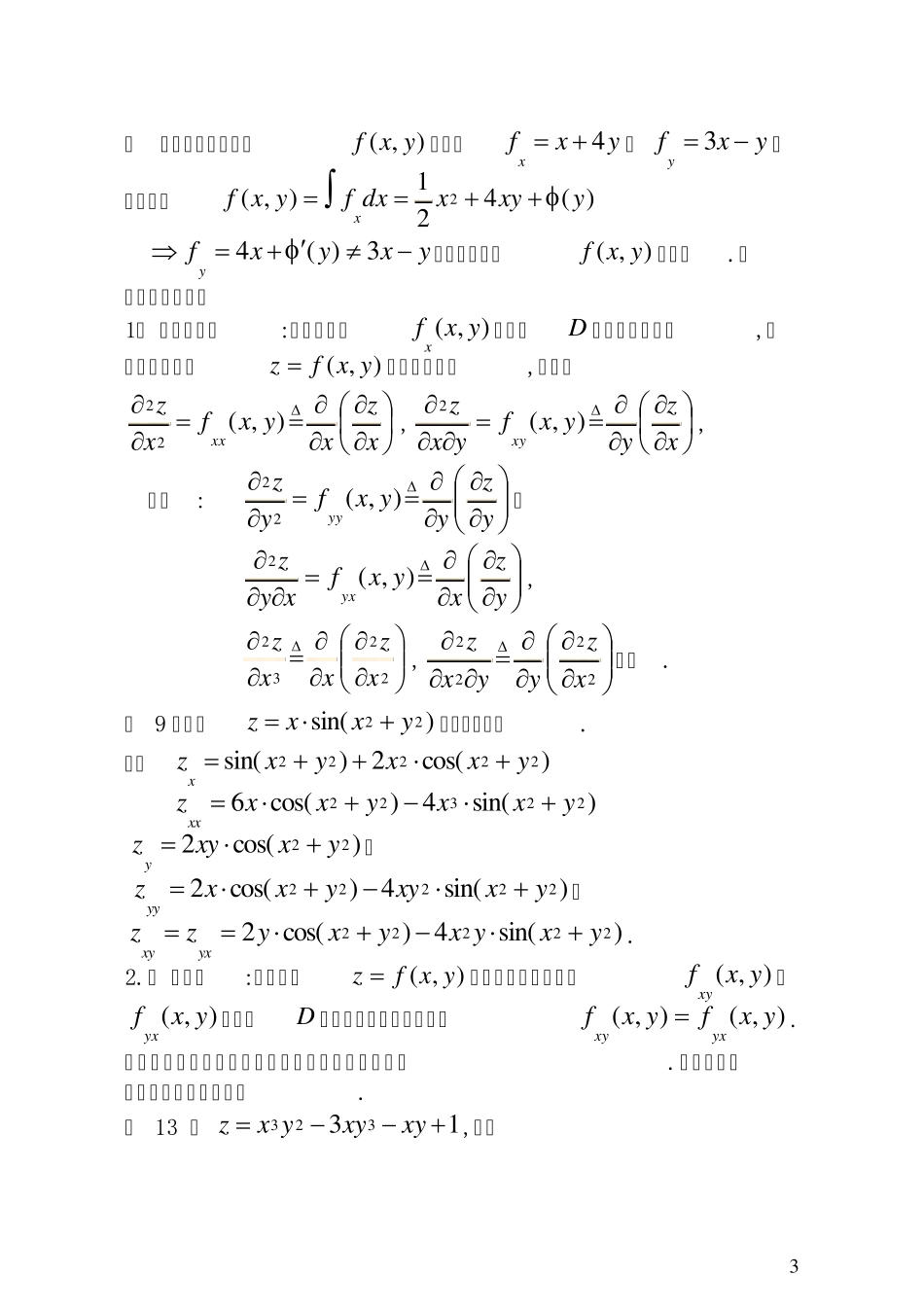
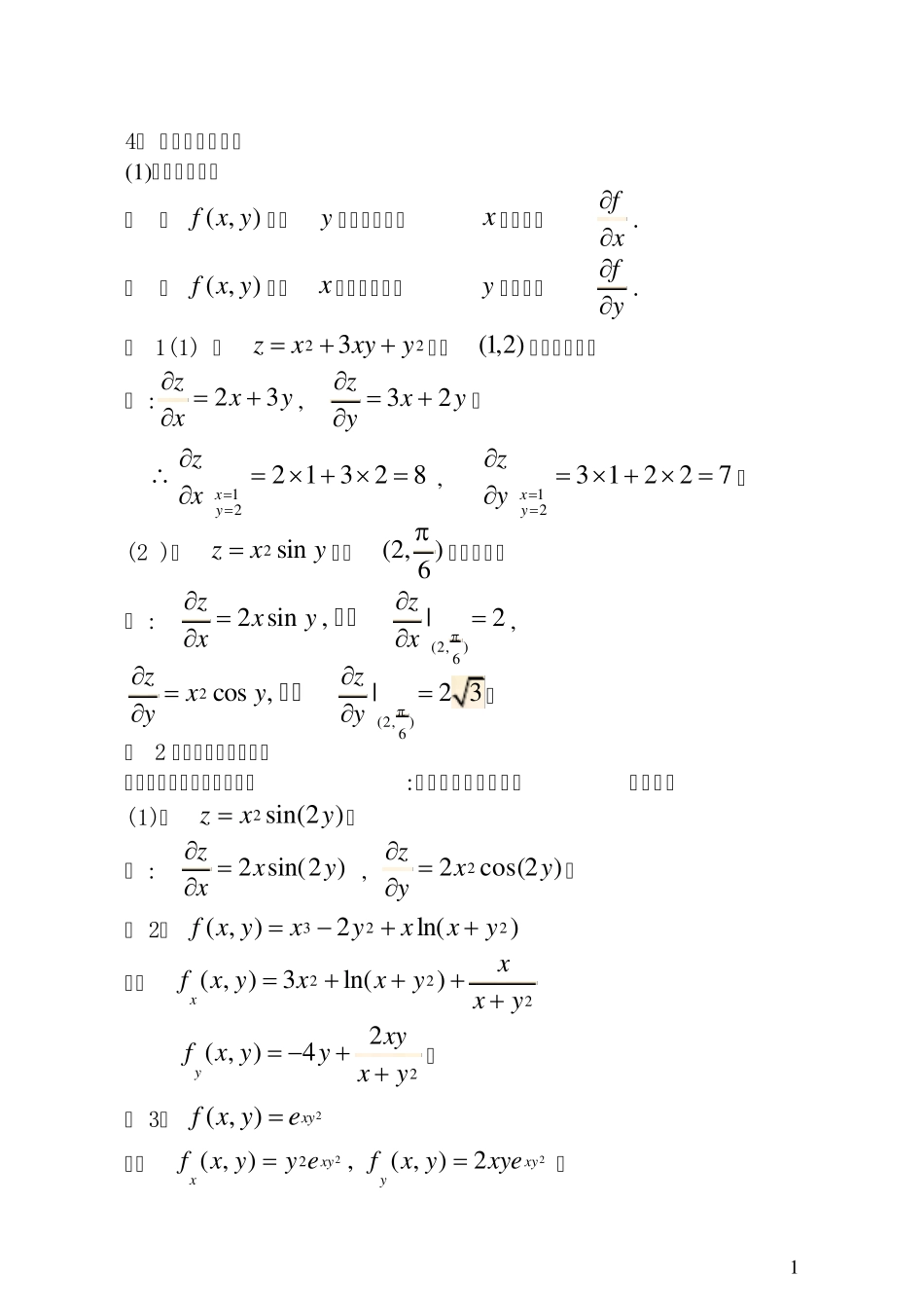
1 4、 偏导数的计算法 (1)二元函数情况 ① 将),(yxf中的y 看作常量而对x 求导可得xf. ② 将),(yxf中的x 看作常量而对y 求导可得yf. 例 1(1) 求 223yxyxz在点)2,1(处的偏导数. 解 :yxxz32 , yxyz23 . 8231221yxxz, 7221321yxyz. (2 )求 2 sinzxy在点(2,)6的偏导数. 解 : (2,)62 sin,|2zzxyxx所以, 2(2,)6cos ,|2 3zzxyyy所以. 例 2 求下列函数的偏导数 (注意理解复合函数求导数:层层求导,导数相乘的含义) (1)求 )2sin(2yxz . 解 : )2sin(2yxxz  , )2cos(22yxyz . ( 2)322( , )2ln()f x yxyxxy 解:222( , )3ln()xxfx yxxyxy 22( , )4yxyfx yyxy . ( 3)2( , )xyf x ye 解:222( , ),( , )2xyxyxyfx yy efx yxye. 2 ( 4) 设2()2yzxyx,其中( )u可微,求,xyzz 解:22() ,()2xyyyzyxyzxxyxx  ( 5)222uxyz(考虑两层复合的函数) 解:222222222,,xyzxyzuuuxyzxyzxyz ( 6)ln tan yzx(考虑三层复合的函数ln,tan,yzu uv vx) 解 6、 偏导数与连续的关系 一元函数中在某点可导 连续, 但是多元函数中在某点偏导数存在  连续. 例如:设.0 ,1,0 ,0),(xyxyyxf 由于00yxxf011lim)0,0()0,0(lim00xxfxfxx, 00yxyf011lim)0,0()0,0(lim00yyfyfyy. 即),(yxf在)0,0(点两个偏导数都存在,但),(yxf在)0,0(点显然间断. 因为( , )(0,0)lim( , )0(0,0)1x yf x yf . 又如,220, ( , )(0,0)( , ), ( , )(0,0)x yf x yxyx yxy  在点(0,0) 处两个偏导数均存在且为0,但是),(yxf在)0,0(点不连续,因为222222( , )(0,0)00lim( , )limlim(1)1x yxxy kxxykxkf x yxyxkk 极限不存在. 3 例 是否存在一个函数( , )f x y ,使得4xfxy,3yfxy? (分析:21( , )4( )2xf x yf dxxxyy 4( )3yfxyxy,所以这样的( , )f x y 不存在.) 二、高阶偏导数 1、 高阶偏导数:设偏导函数)...

1、当您付费下载文档后,您只拥有了使用权限,并不意味着购买了版权,文档只能用于自身使用,不得用于其他商业用途(如 [转卖]进行直接盈利或[编辑后售卖]进行间接盈利)。
2、本站所有内容均由合作方或网友上传,本站不对文档的完整性、权威性及其观点立场正确性做任何保证或承诺!文档内容仅供研究参考,付费前请自行鉴别。
3、如文档内容存在违规,或者侵犯商业秘密、侵犯著作权等,请点击“违规举报”。

碎片内容

第二节_偏导数及其在经济分析中的应用

小辰6+ 关注
实名认证
内容提供者

出售各种资料和文档

相关文档

确认删除?
VIP
微信客服
  • 扫码咨询
会员Q群
  • 会员专属群点击这里加入QQ群
客服邮箱
回到顶部