电脑桌面
添加小米粒文库到电脑桌面
安装后可以在桌面快捷访问

微积分习题集带参考答案

微积分习题集带参考答案_第1页
1/16
微积分习题集带参考答案_第2页
2/16
微积分习题集带参考答案_第3页
3/16
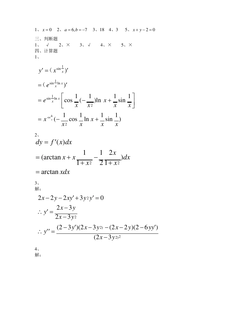
微积分习题集带参考答案一、选择题(每题 2 分)1、设 x 定义域为(1,2),则 lg x的定义域为()A、(0,lg2)B、(0,lg2 C、(10,100)D、(1,2)x2  x2、x=-1 是函数 x =的()2x x 1A、跳跃间断点 B、可去间断点C、无穷间断点D、不是间断点3、试求limA、 4、若2 x  4 等于()x0x1B、0C、1D、 4yx1,求 y等于()xyA、 2x  yy  2x2y  xx  2yB、C、D、 2x  y2y  x2y  x2x  y2x的渐近线条数为()21 xA、0B、1C、26、下列函数中,那个不是映射()5、曲线 y D、3A、 y2  x(x R, y  R)B、 y2  x2 1C、 y  x2D、 y  ln x(x  0)二、填空题(每题 2 分)1、y=11 x2的反函数为 __________2、、设 (f x)  lim (n 1)x,则 f (x)的间断点为 __________x nx2 1x2  bx  a  5,则此函数的最大值为 __________3、已知常数 a、b,limx11 x4、已知直线 y  6x  k是 y  3x2的切线,则 k  __________11)的法线方程是 __________5、求曲线 xln y  y  2x 1,在点(,三、判断题(每题 2 分)x2是有界函数()1、函数y  1 x22、有界函数是收敛数列的充分不必要条件()3、若lim   ,就说是比低阶的无穷小()4、可导函数的极值点未必是它的驻点()5、曲线上凹弧与凸弧的分界点称为拐点()四、计算题(每题 6 分)1、求函数 y  xsin 1x 的导数12、已知f (x)  xarctan x ln(1 x2),求dy23、已知x2  2xy  y3  6,确定y是x的函数,求y4、求lim tan x sin x2x0xsin xdx5、计算3(1x) x1x) x6、计算 lim(cosx02五、应用题(x) 100x  x2,总成本函数为1、设某企业在生产一种商品 x 件时的总收益为 RC(x)  200  50x  x2,问政府对每件商品征收货物税为多少时,在企业获得利润最大的情况下,总税额最大?(8 分)12、描绘函数 y  x2 的图形(12 分)x六、证明题(每题 6 分)1f ( )  A1、用极限的定义证明:设 lim f (x)  A,则 limxx0x2、证明方程 xex 1在区间(0,1)内有且仅有一个实数一、选择题1、C2、C3、A4、B5、D6、B二、填空题1、 x  02、 a  6,b  73、184、35、 ...

1、当您付费下载文档后,您只拥有了使用权限,并不意味着购买了版权,文档只能用于自身使用,不得用于其他商业用途(如 [转卖]进行直接盈利或[编辑后售卖]进行间接盈利)。
2、本站所有内容均由合作方或网友上传,本站不对文档的完整性、权威性及其观点立场正确性做任何保证或承诺!文档内容仅供研究参考,付费前请自行鉴别。
3、如文档内容存在违规,或者侵犯商业秘密、侵犯著作权等,请点击“违规举报”。

碎片内容

微积分习题集带参考答案

确认删除?
VIP
微信客服
  • 扫码咨询
会员Q群
  • 会员专属群点击这里加入QQ群
客服邮箱
回到顶部