电脑桌面
添加小米粒文库到电脑桌面
安装后可以在桌面快捷访问

七年级数学上册计算题专项训练

七年级数学上册计算题专项训练_第1页
1/19
七年级数学上册计算题专项训练_第2页
2/19
七年级数学上册计算题专项训练_第3页
3/19
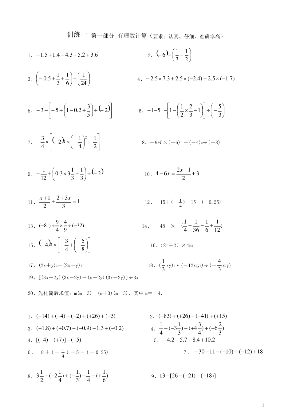
1 训练一 第一部分 有理数计算(要求:认真、仔细、准确率高) 1、6.32.53.44.15.1 2、21316 3、24161315.0 4、)7.1(5.2)4.2(5.23.75.2 5、2532.0153 6、35132211|5| 7、 214124322 8、-9+5×(-6) -(-4)2÷(-8) 9、2313133.0121 10、321264xx 11、133221xx 12、 15+(―41 )―15―(―0.25) 13、)32(9449)81( 14、 —48 × )1216136141( 15、85434 2 16、(2m+2)×4m2 17、(2x+y)2-(2x-y)2 18、( 31xy)2·(-12x2y2)÷(-34x3y) 19、[(3x+2y)(3x-2y)-(x+2y)(3x-2y)]÷3x 20、先化简后求值:m(m-3)-(m+3)(m-3),其中 m=-4. 1、)3()26()2()4()14( 2、)15()41()26()83( 3、)2.0(3.1)9.0()7.0()8.1( 4、)326()434()313(41 4、)5()]7()4[( 5、2.104.87.52.4 6 、 8 +( ―41 ) ―5 ―( ―0.25) 7 、18)12()10(1130 8、)61(41)31()412(213 9、)]18()21(26[13 2 10、2111)43(412 11、)25()7()4( 12、)34(8)53( 13、)1514348(43 14、)8(45)201( 15,53)8()92()4()52(8 16、)8(12)11(9 17、)412()21()43( 18、2411)25.0(6 19. )21(31)32( 20、)51(250 21、)3(4)2(817 22、1)101(250322 23、911)325.0(321 24、1)51(25032 25、])3(2[)]215.01(1[2 26、)145()2(52825 27、6)3(5)3(42 28、)25.0(5)41(8 29、)48()1214361( 30、31)321()1( 31、)199(41212 32、)16(94412)81( 33、)]21541(43[21 34、)2(9449344 35.22)36()33(24)12581( 36、3223121213 37、 (-12)÷4...

1、当您付费下载文档后,您只拥有了使用权限,并不意味着购买了版权,文档只能用于自身使用,不得用于其他商业用途(如 [转卖]进行直接盈利或[编辑后售卖]进行间接盈利)。
2、本站所有内容均由合作方或网友上传,本站不对文档的完整性、权威性及其观点立场正确性做任何保证或承诺!文档内容仅供研究参考,付费前请自行鉴别。
3、如文档内容存在违规,或者侵犯商业秘密、侵犯著作权等,请点击“违规举报”。

碎片内容

七年级数学上册计算题专项训练

确认删除?
VIP
微信客服
  • 扫码咨询
会员Q群
  • 会员专属群点击这里加入QQ群
客服邮箱
回到顶部