电脑桌面
添加小米粒文库到电脑桌面
安装后可以在桌面快捷访问

不锈钢中国德国成份对照表

不锈钢中国德国成份对照表_第1页
1/15
不锈钢中国德国成份对照表_第2页
2/15
不锈钢中国德国成份对照表_第3页
3/15
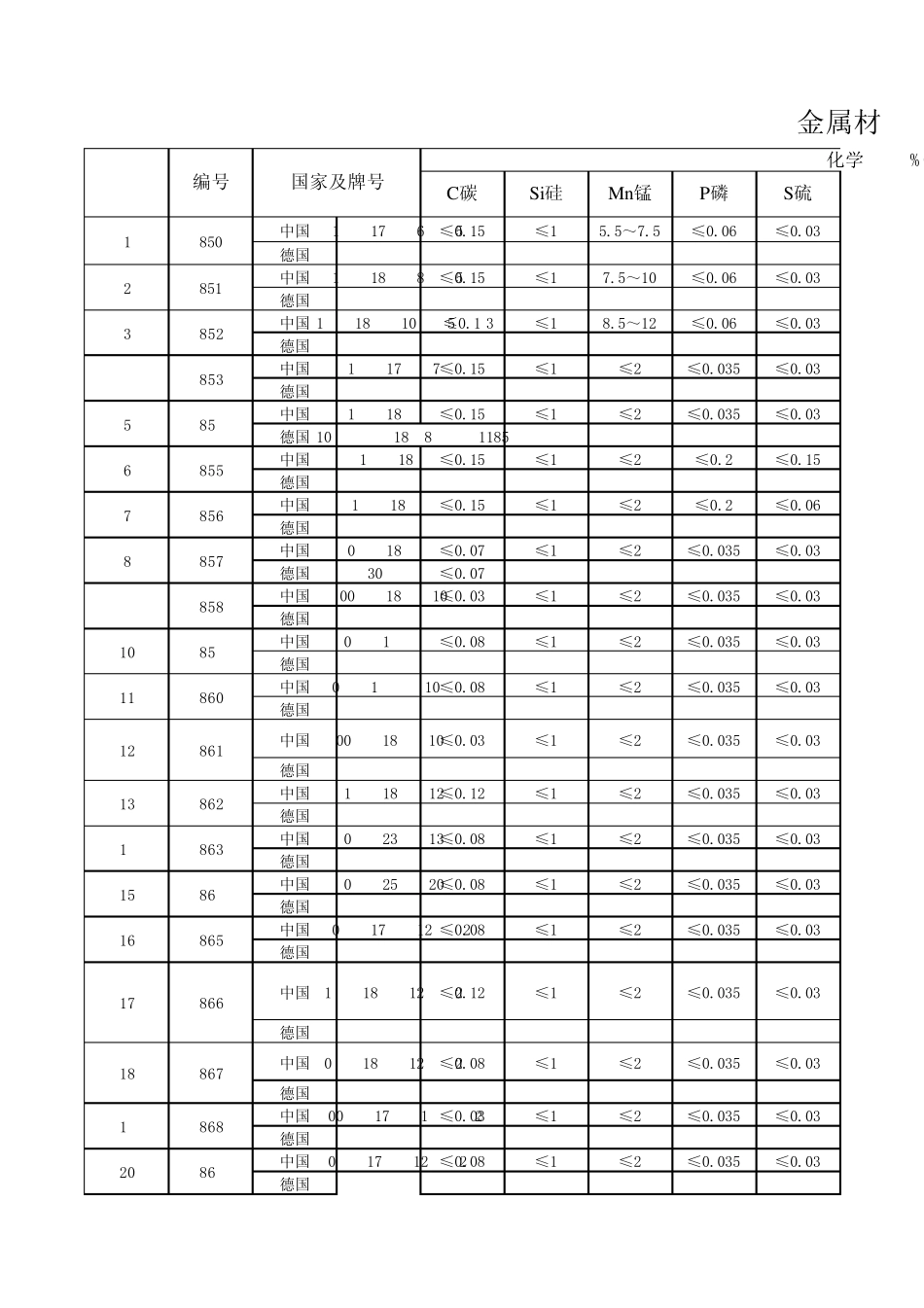
C碳Si硅Mn 锰P磷S硫中国1Cr17Mn6Ni5N≤0.15≤15.5~7.5≤0.06≤0.03德国中国1Cr18Mn8Ni5N≤0.15≤17.5~10≤0.06≤0.03德国中国1Cr18Mn10Ni5Mo3N≤0.1≤18.5~12≤0.06≤0.03德国中国1Cr17Ni7≤0.15≤1≤2≤0.035≤0.03德国中国1Cr18Ni9≤0.15≤1≤2≤0.035≤0.03德国10CrNi18-8/ST1185中国Y1Cr18Ni9≤0.15≤1≤2≤0.2≤0.15德国中国Y1Cr18Ni9Se≤0.15≤1≤2≤0.2≤0.06德国中国0Cr18Ni9≤0.07≤1≤2≤0.035≤0.03德国 304≤0.07中国00Cr18Ni10≤0.03≤1≤2≤0.035≤0.03德国中国0Cr19Ni9N≤0.08≤1≤2≤0.035≤0.03德国中国0Cr19Ni10NbN≤0.08≤1≤2≤0.035≤0.03德国中国00Cr18Ni10N≤0.03≤1≤2≤0.035≤0.03德国中国1Cr18Ni12≤0.12≤1≤2≤0.035≤0.03德国中国0Cr23Ni13≤0.08≤1≤2≤0.035≤0.03德国中国0Cr25Ni20≤0.08≤1≤2≤0.035≤0.03德国中国0Cr17Ni12Mo2≤0.08≤1≤2≤0.035≤0.03德国中国1Cr18Ni12Mo2Ti≤0.12≤1≤2≤0.035≤0.03德国中国0Cr18Ni12Mo2Ti≤0.08≤1≤2≤0.035≤0.03德国中国00Cr17Ni14Mo2≤0.03≤1≤2≤0.035≤0.03德国中国0Cr17Ni12Mo2N≤0.08≤1≤2≤0.035≤0.03德国18502851金属材编号国家及牌号化学%(58546855385248539858108597856885713862148631186012861178661886715864168651986820869中国00Cr17Ni13Mo2N≤0.03≤1≤2≤0.035≤0.03德国中国0Cr18Ni12Mo2Cu2≤0.08≤1≤2≤0.035≤0.03德国中国00Cr18Ni14Mo2Cu2≤0.03≤1≤2≤0.035≤0.03德国中国0Cr19Ni13Mo3≤0.08≤1≤2≤0.035≤0.03德国中国00Cr19Ni13Mo3≤0.03≤1≤2≤0.035≤0.03德国中国1Cr18Ni12Mo3Ti≤0.12≤1≤2≤0.035≤0.03德国中国0Cr18Ni12Mo3Ti≤0.08≤1≤2≤0.035≤0.03德国中国0Cr18Ni16Mo5≤0.04≤1≤2≤0.035≤0.03德国中国1Cr18Ni9Ti≤0.12≤1≤2≤0.035≤0.03德国中国0Cr18Ni10Ti≤0.08≤1≤2≤0.035≤0.03德国X10crniti189中国0Cr18Ni11Nb≤0.08≤1≤2≤0.035≤0.03德国中国0Cr18Ni9Cu3≤0.08≤1≤2≤0.035≤0.03德国中国≤0.083~5≤2≤0.035≤0.03德国中国0Cr26Ni5Mo2≤0.08≤1≤1.5≤0.035≤0.03德国AISI329中国1Cr18Ni11Si4AlTi0.1~0.183.4~4≤0.8≤0.035≤0.03德国中国00Cr18Ni5Mo3Si20.031.3~21~2≤0.035≤0.03德国中国0Cr13Al≤0.08≤1≤1≤0.035≤0.03德国中国00Cr12≤0.03≤1≤1≤0.035≤0.03德国中国 1Cr17≤0.12≤0.75≤1≤0.035≤0.03德国中国Y1Cr17≤0.12≤1≤1.25≤0.06≥0.15德国2187022871258742687523872248732...

1、当您付费下载文档后,您只拥有了使用权限,并不意味着购买了版权,文档只能用于自身使用,不得用于其他商业用途(如 [转卖]进行直接盈利或[编辑后售卖]进行间接盈利)。
2、本站所有内容均由合作方或网友上传,本站不对文档的完整性、权威性及其观点立场正确性做任何保证或承诺!文档内容仅供研究参考,付费前请自行鉴别。
3、如文档内容存在违规,或者侵犯商业秘密、侵犯著作权等,请点击“违规举报”。

碎片内容

不锈钢中国德国成份对照表

您可能关注的文档

小辰5+ 关注
实名认证
内容提供者

出售各种资料和文档

确认删除?
VIP
微信客服
  • 扫码咨询
会员Q群
  • 会员专属群点击这里加入QQ群
客服邮箱
回到顶部