电脑桌面
添加小米粒文库到电脑桌面
安装后可以在桌面快捷访问

专升本《高数》入学试题库

专升本《高数》入学试题库_第1页
1/23
专升本《高数》入学试题库_第2页
2/23
专升本《高数》入学试题库_第3页
3/23
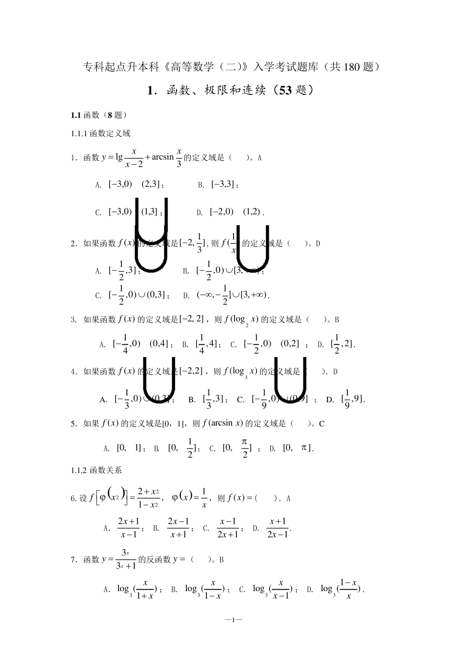
—1— 专科起点升本科《高等数学(二)》入学考试题库(共 180 题) 1 .函数、极限和连续(5 3 题) 1 .1 函数(8 题) 1.1.1 函数定义域 1.函数lgarcsin23xxyx的定义域是( )。A A. [ 3,0)(2,3]; B. [ 3,3]; C. [ 3,0)(1,3]; D. [ 2,0)(1,2). 2.如果函数( )f x的定义域是1[ 2,]3,则1( )f x的定义域是( )。D A. 1[,3]2; B. 1[,0)[3,)2 ; C. 1[,0)(0,3]2; D. 1(,][3,)2  . 3. 如果函数( )f x的定义域是[ 2, 2],则2(log)fx的定义域是( )。B A. 1[,0)(0,4]4; B. 1[ ,4]4; C. 1[,0)(0,2]2 ; D. 1[ ,2]2. 4.如果函数( )f x的定义域是[ 2,2],则3(log)fx 的定义域是( ).D A. 1[,0)(0,3]3; B. 1[ ,3]3; C. 1[,0)(0,9]9 ; D. 1[ ,9]9. 5.如果)(xf的定义域是[0,1],则(arcsin )fx的定义域是( )。C A. [0,1] ; B. 1[0,]2 ; C. [0,]2 ; D. [0,] . 1.1.2 函数关系 6.设  22221,1xfxxxx ,则( )f x  ( ).A A. 211xx; B. 211xx; C. 121xx; D. 121xx . 7.函数331xxy 的反函数 y  ( )。B A.3log ()1xx; B. 3log ()1xx; C. 3log ()1xx ; D. 31log ()xx. —2— 8.如果2sin(cos )cos2xfxx,则( )f x  ( ).C A.22121xx ; B. 22121xx; C. 22121xx ; D. 22121xx. 1 .2 极限(3 7 题) 1.2.1 数列的极限 9.极限123lim ()2nnnn  ( ).B A.1; B. 12 ; C. 13 ; D.  . 10.极限2123lim2nnn  ( ).A A. 14 ; B. 14; C. 15 ; D. 15 11.极限111lim 1 22 3(1)nn n( ).C A.-1; B. 0; C. 1; D.  . 12.极限221111( 1)222lim1111333nnnn ( ).A A. 49 ; B. 49; C. 94 ; D. 94 1.2.2 函数的极限 13.极限2limxxxx ( ).C A. 12 ; B. 12; C. 1; D. 1 . 14.极限01 1limxxx   ( ).A A. 12 ; B. 12; C. 2 ; D. 2 . 15.极限031 1limxxx   (...

1、当您付费下载文档后,您只拥有了使用权限,并不意味着购买了版权,文档只能用于自身使用,不得用于其他商业用途(如 [转卖]进行直接盈利或[编辑后售卖]进行间接盈利)。
2、本站所有内容均由合作方或网友上传,本站不对文档的完整性、权威性及其观点立场正确性做任何保证或承诺!文档内容仅供研究参考,付费前请自行鉴别。
3、如文档内容存在违规,或者侵犯商业秘密、侵犯著作权等,请点击“违规举报”。

碎片内容

专升本《高数》入学试题库

确认删除?
VIP
微信客服
  • 扫码咨询
会员Q群
  • 会员专属群点击这里加入QQ群
客服邮箱
回到顶部