电脑桌面
添加小米粒文库到电脑桌面
安装后可以在桌面快捷访问

专插本高等数学例题和习题ch5常微分方程

专插本高等数学例题和习题ch5常微分方程_第1页
1/16
专插本高等数学例题和习题ch5常微分方程_第2页
2/16
专插本高等数学例题和习题ch5常微分方程_第3页
3/16
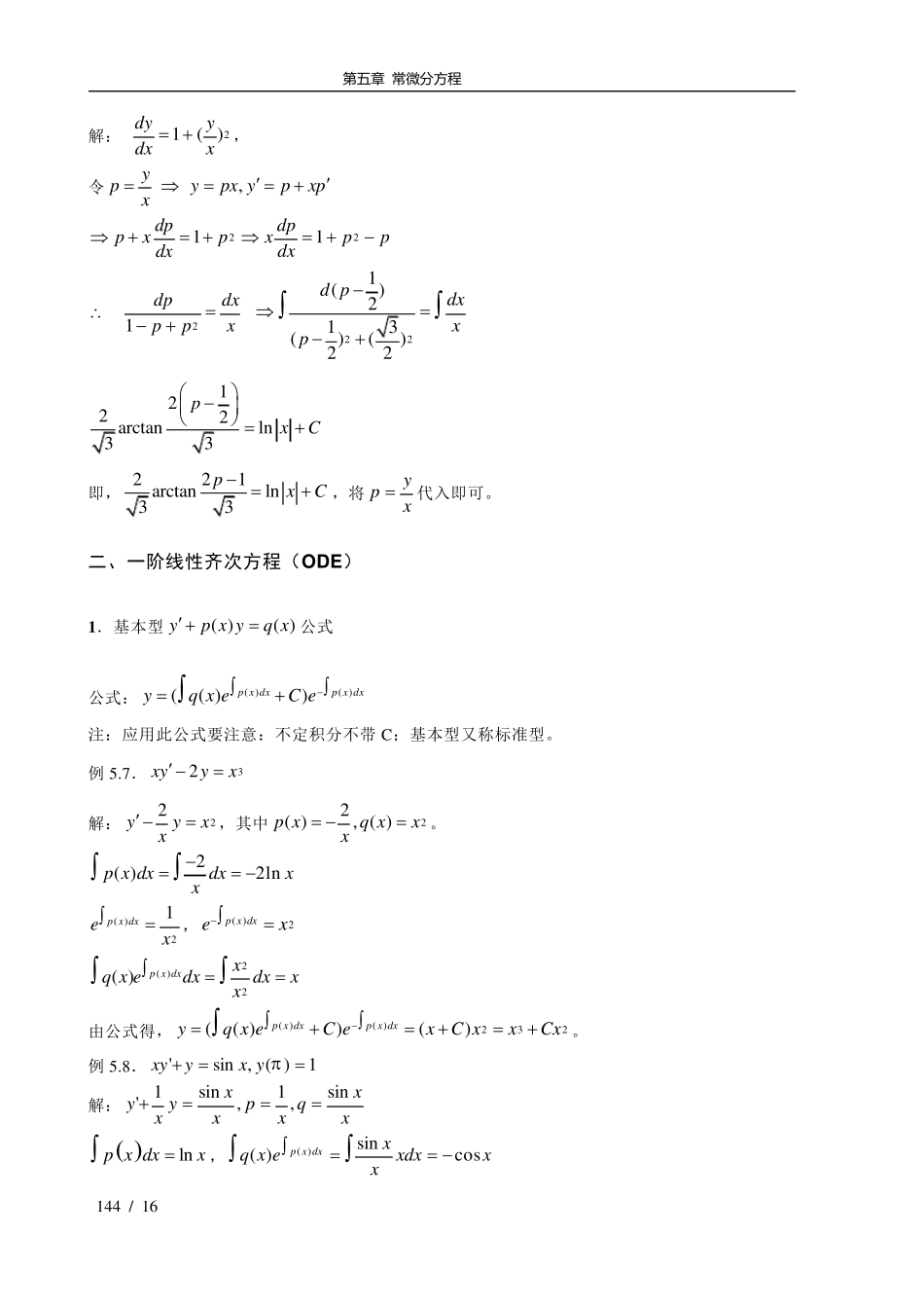
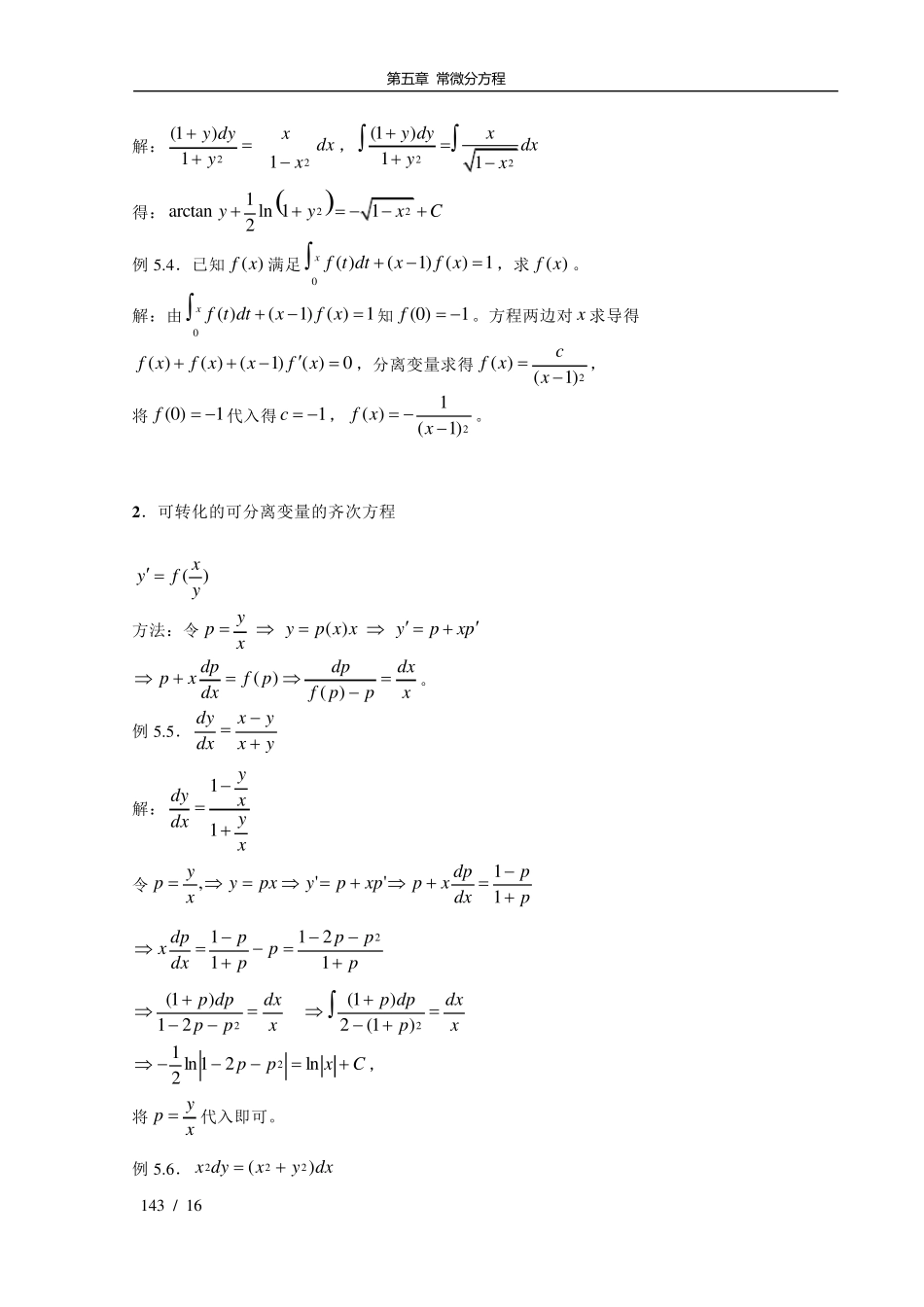
第 五章 常微分方程 142 / 16 第五章 常微分方程(简记ODE) 本章主要知识点  可分离变量的ODE  一阶线性非齐次常微分方程及推广  二阶常系数线性齐次与非齐次常微分方程  一些特殊类方程 一、可分离变量的 ODE 1.基本型的解法 基本型:( )( )dyG x H ydx  基本解法: ( )( )dyG x dxH y  ( )( )dyG x dxH y  例 5.1.1)0(,yedxdyyx 解:dxedyexy dxedyexy 通解为:ceexy 将1,0yx得: 1 ec 得 1eeexy 例 5.2. (1)lny yyxdx 解: (1)lny dyxdxy 1(1)lndyxdxy , 得: ln | |lnyyxxxC 例 5.3.dxyxdyyx)1()1(122 第 五章 常微分方程 143 / 16 解:dxxxydyy2211)1(,22(1)11y dyxdxyx 得:221arctanln 112yyxC  例5.4.已知( )f x满足0( )(1) ( )1x f t dtxf x,求( )f x。 解:由0( )(1) ( )1x f t dtxf x知(0)1f  。方程两边对 x 求导得 ( )( )(1)( )0f xf xxfx,分离变量求得2( )(1)cf xx, 将(0)1f  代入得1c   ,21( )(1)f xx 。 2 .可转化的可分离变量的齐次方程 ( )xyf y  方法:令( )ypyp x xypxpx xdxppfdppfdxdpxp)()(。 例5.5.yxyxdxdy 解:xyxydxdy11 令ppdxdpxpx ppypxyxyp11'', ppppppdxdpx121112 xdxppdpp221)1( xdxpdpp 2)1(2)1( Cxppln21ln212, 将xyp 代入即可。 例5.6.dxyxdyx)(222 第 五章 常微分方程 144 / 16 解: 2)(1xydxdy, 令,ypypx ypxpx 21dppxpdx ppdxdpx21  xdxppdp21 221()213()()22d pdxxp 1222arctanln33pxC  即,221arctanln33pxC ,将xyp 代入即可。 二、一阶线性齐次方程(ODE) 1 .基本型( )( )yp x yq x 公式 公式:( )( )(( ))p x dxp x dxyq x eC e 注:应用此公式要注意:不定积分不带 C;基本型又称标准型。 例 5.7.32xyyx  解:22yyxx,其中22( ), ( )p xq...

1、当您付费下载文档后,您只拥有了使用权限,并不意味着购买了版权,文档只能用于自身使用,不得用于其他商业用途(如 [转卖]进行直接盈利或[编辑后售卖]进行间接盈利)。
2、本站所有内容均由合作方或网友上传,本站不对文档的完整性、权威性及其观点立场正确性做任何保证或承诺!文档内容仅供研究参考,付费前请自行鉴别。
3、如文档内容存在违规,或者侵犯商业秘密、侵犯著作权等,请点击“违规举报”。

碎片内容

专插本高等数学例题和习题ch5常微分方程

您可能关注的文档

确认删除?
VIP
微信客服
  • 扫码咨询
会员Q群
  • 会员专属群点击这里加入QQ群
客服邮箱
回到顶部