电脑桌面
添加小米粒文库到电脑桌面
安装后可以在桌面快捷访问

信息通信建设工程预算定额451(2018)VIP专享

信息通信建设工程预算定额451(2018)_第1页
1/14
信息通信建设工程预算定额451(2018)_第2页
2/14
信息通信建设工程预算定额451(2018)_第3页
3/14
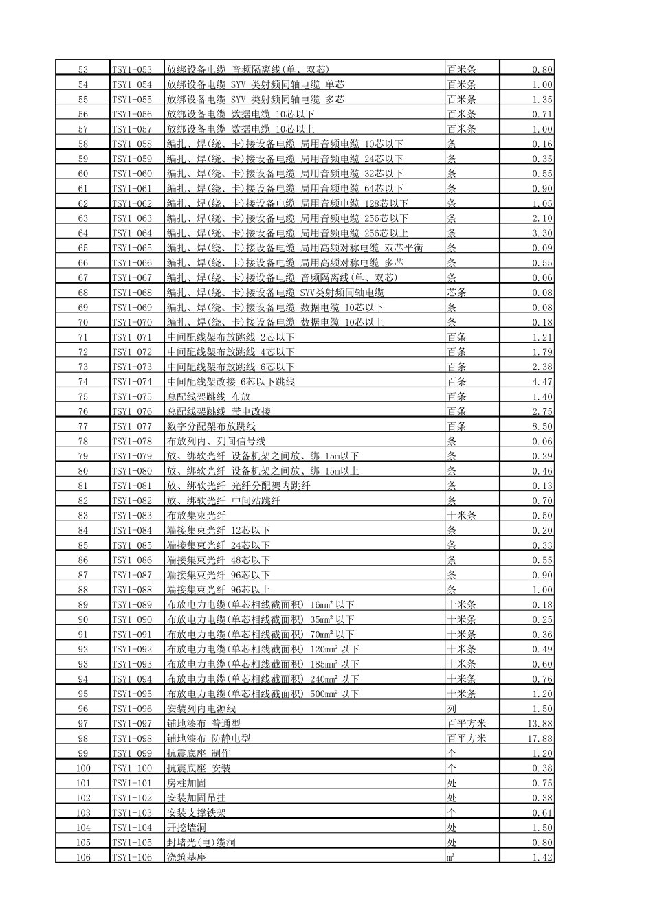
技工1TSY1-001安装电源分配架(柜)、箱 落地式架2.132TSY1-002安装电源分配架(柜)、箱 壁挂式架1.383TSY1-003安装电源分配架(柜)、箱 架顶式架0.604TSY1-004电源分配柜带电更换空气开关、熔断器个1.005TSY1-005安装室内有源综合架(柜)落地式个1.866TSY1-006安装室内有源综合架(柜)嵌墙式个4.057TSY1-007安装室内无源综合架(柜)落地式个1.618TSY1-008安装室内无源综合架(柜)嵌墙式个2.799TSY1-009安装室内墙挂/嵌墙式综合机箱 有源个1.2010TSY1-010安装室内墙挂/嵌墙式综合机箱 无源个0.9611TSY1-011安装室外落地式综合架(柜) 800mm宽以下个2.4812TSY1-012安装室外落地式综合架(柜) 800mm宽以上个3.7213TSY1-013安装室外架空式综合架(柜)个5.6414TSY1-014安装室外墙挂/嵌墙式综合机箱 有源个1.5515TSY1-015安装室外墙挂/嵌墙式综合机箱 无源个1.2816TSY1-016增(扩)装子机框个0.2017TSY1-017安装落地式总配线架 240回线以下架6.0118TSY1-018安装落地式总配线架 480回线以下架8.5119TSY1-019安装落地式总配线架 1000回线以下架10.0220TSY1-020安装落地式总配线架 2000回线以下架13.2721TSY1-021安装落地式总配线架 4000回线以下架16.7522TSY1-022安装落地式总配线架 6000回线以下架19.5523TSY1-023安装600/600壁挂式配线架架4.1724TSY1-024安装保安排块0.1325TSY1-025安装试线排块0.1026TSY1-026安装110配线箱套0.7527TSY1-027安装数字分配架 整架架3.5028TSY1-028安装数字分配架 子架个0.1929TSY1-029安装光分配架 整架架2.4230TSY1-030安装光分配架 子架个0.1931TSY1-031安装壁挂式数字分配箱箱1.7532TSY1-032安装壁挂式光分配箱箱1.3533TSY1-033安装光纤总配线架(OMDF)架4.2534TSY1-034安装保安配线箱 40回线以下个1.0835TSY1-035安装保安配线箱 60回线以下个1.7636TSY1-036安装保安配线箱 120回线以下个2.8037TSY1-037安装保安配线箱 180回线以下个3.5238TSY1-038安装列架照明 二灯/列列1.5639TSY1-039安装列架照明 四灯/列列2.4040TSY1-040安装列架照明 六灯/列列3.2441TSY1-041安装机台照明台1.0042TSY1-042安装事故照明处0.2043TSY1-043安装机房信号灯盘 总信号灯盘盘0.5044TSY1-044安装机房信号灯盘 列信号灯盘盘0.1545TSY1-045安装电缆槽道m0.1446TSY1-046安装电缆走线架m0.1247TSY1-047安装软光纤走线槽m0.0648TSY1-048敷设硬质 PVC 管/槽盒m0.0349TSY1-049放绑设备电缆 局用音频电缆 24芯以下百米条1.0550T...

1、当您付费下载文档后,您只拥有了使用权限,并不意味着购买了版权,文档只能用于自身使用,不得用于其他商业用途(如 [转卖]进行直接盈利或[编辑后售卖]进行间接盈利)。
2、本站所有内容均由合作方或网友上传,本站不对文档的完整性、权威性及其观点立场正确性做任何保证或承诺!文档内容仅供研究参考,付费前请自行鉴别。
3、如文档内容存在违规,或者侵犯商业秘密、侵犯著作权等,请点击“违规举报”。

碎片内容

信息通信建设工程预算定额451(2018)

小辰3+ 关注
实名认证
内容提供者

出售各种资料和文档

确认删除?
VIP
微信客服
  • 扫码咨询
会员Q群
  • 会员专属群点击这里加入QQ群
客服邮箱
回到顶部