电脑桌面
添加小米粒文库到电脑桌面
安装后可以在桌面快捷访问

兰州市小学学校标识码

兰州市小学学校标识码_第1页
1/38
兰州市小学学校标识码_第2页
2/38
兰州市小学学校标识码_第3页
3/38
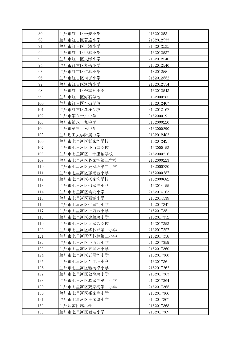
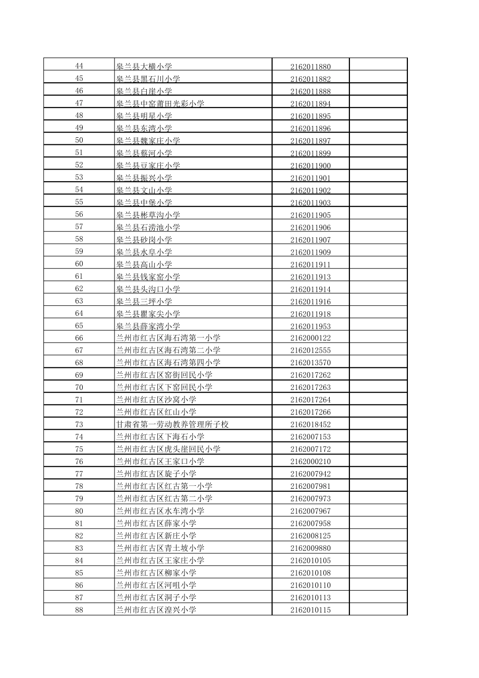
序号学校标识码备注1兰州市安宁区十里店第二小学21620039422兰州市安宁区孔家崖第一小学21620137343兰州市安宁区孔家崖第二小学21620137384兰州市安宁区银滩路小学21620137405兰州市安宁区刘家堡小学21620098186兰州市安宁区崔家庄小学21620137027兰州市安宁区安宁堡小学21620138588兰州市安宁区河湾小学21620137449 兰州市安宁区十里店小学216201370710兰州市安宁区培黎小学216201371311 兰州市安宁区水挂庄小学216201371712兰州专用汽车制造厂职工子弟学校(滨河小学)216201373113 兰州市安宁区兰飞小学216201372514兰州市安宁区万里小学216201372615兰州市安宁区长风小学216201372816甘肃农业大学附属中学316200858217甘肃陇大国际学校316200882518兰州理工大学附属中学316201248319兰州大学医学院附设小学216200296720兰州市东郊学校216200307621兰州大学职工子弟小学216200347922甘肃地勘局第一中学附小216200390523中国科学院兰州分院小学216200430624兰州交通大学附属小学216201077425西北师范大学附属小学216201372326兰炼中小学总校第三小学216201379927兰化公司中小学总校第三小学216201516528兰化公司中小学总校第四小学216201733329兰州师范附属小学216201736830兰州炼油化工总厂中小学总校第二小学216201845031皋兰县石洞小学216201176832皋兰县三川口学校216201184033皋兰县什川明德小学216201185134皋兰县上车小学216201185235皋兰县泥湾小学216201185336皋兰县丰登小学216201186437皋兰县涝池小学216201186738皋兰县盐池小学216201187039皋兰县罗官小学216201187240皋兰县火烧崖小学216201187341皋兰县水源小学216201187542皋兰县崖川小学216201187743皋兰县石青小学216201187844皋兰县大横小学216201188045皋兰县黑石川小学216201188246皋兰县白崖小学216201188847皋兰县中窑莆田光彩小学216201189448皋兰县明星小学216201189549皋兰县东湾小学216201189650皋兰县魏家庄小学216201189751皋兰县蔡河小学216201189952皋兰县豆家庄小学216201190053皋兰县振兴小学216201190154皋兰县文山小学216201190255皋兰县中堡小学216201190356皋兰县彬草沟小学216201190557皋兰县石涝池小学216201190658皋兰县砂岗小学216201190759皋兰县水阜小学216201190960皋兰县高山小学216201191161皋兰县钱家窑小学216201191362皋兰县头沟口小学216201191463皋兰县三坪小学216201191664皋兰县瞿家尖小学216201191865皋兰县薛家湾小学216201195366兰州...

1、当您付费下载文档后,您只拥有了使用权限,并不意味着购买了版权,文档只能用于自身使用,不得用于其他商业用途(如 [转卖]进行直接盈利或[编辑后售卖]进行间接盈利)。
2、本站所有内容均由合作方或网友上传,本站不对文档的完整性、权威性及其观点立场正确性做任何保证或承诺!文档内容仅供研究参考,付费前请自行鉴别。
3、如文档内容存在违规,或者侵犯商业秘密、侵犯著作权等,请点击“违规举报”。

碎片内容

兰州市小学学校标识码

确认删除?
VIP
微信客服
  • 扫码咨询
会员Q群
  • 会员专属群点击这里加入QQ群
客服邮箱
回到顶部