电脑桌面
添加小米粒文库到电脑桌面
安装后可以在桌面快捷访问

南京邮电大学电磁场与电磁波考试必背公式

南京邮电大学电磁场与电磁波考试必背公式_第1页
1/11
南京邮电大学电磁场与电磁波考试必背公式_第2页
2/11
南京邮电大学电磁场与电磁波考试必背公式_第3页
3/11
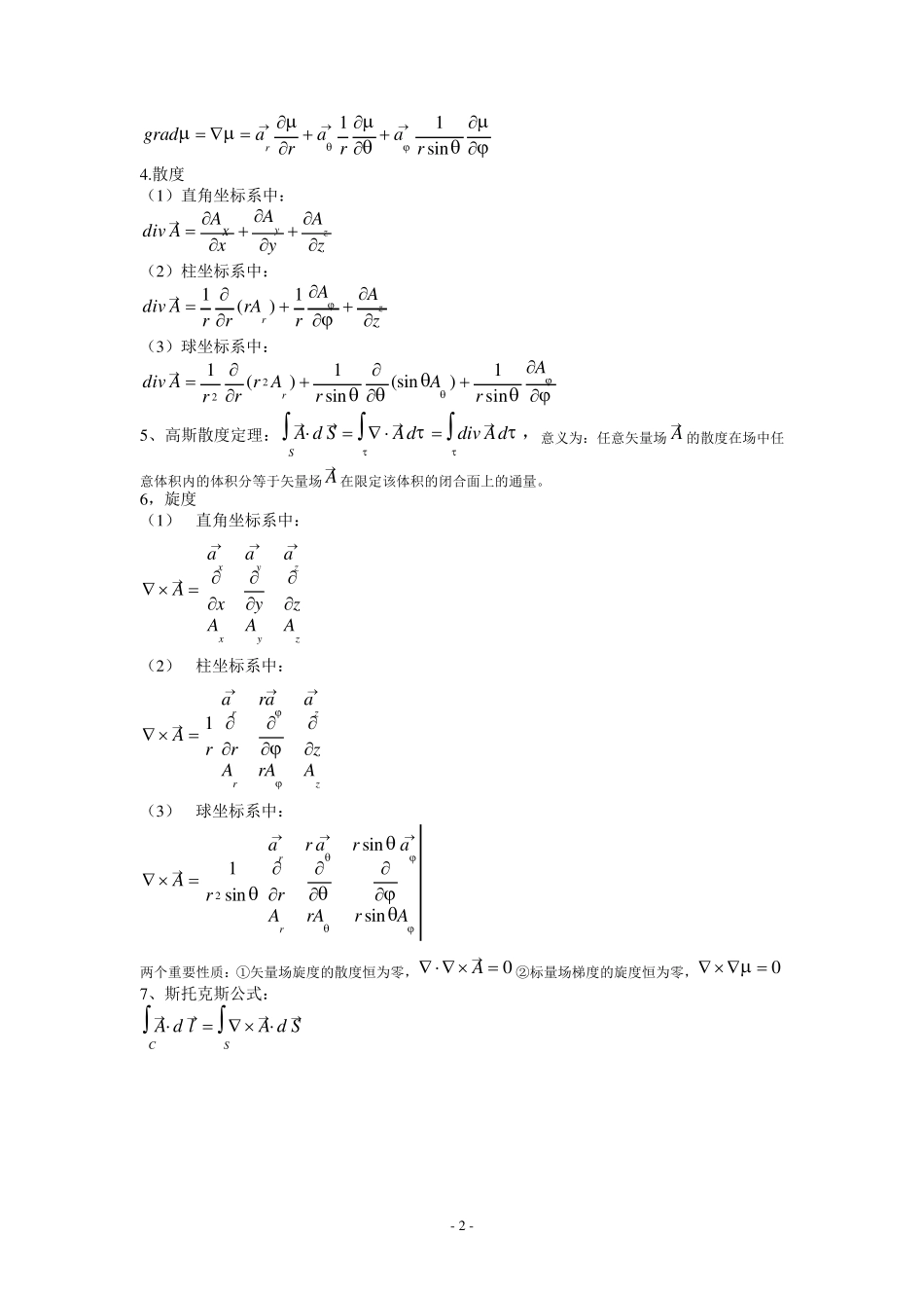
- 1 - 电磁场与电磁波复习 第一部分 知识点归纳 第一章 矢量分析 1、三种常用的坐标系 (1)直角坐标系 微分线元:dzadyadxaRdzyx 面积元:dxdydSdxdzdSdydzdSzyx ,体积元:dxdydzd (2)柱坐标系 长度元:dzdlrddldrdlzr,面积元rdrdzdldldSdrdzdldldSdzrddldldSzzzrzr,体积元:dzrdrdd  (3)球坐标系 长 度 元 :drdlrddldrdlrsin, 面 积 元 :rdrddldldSdrdrdldldSddrdldldSrrrsinsin2, 体 积 元 :ddrdrdsin2 2、三种坐标系的坐标变量之间的关系 (1)直角坐标系与柱坐标系的关系 zzxyyxrzzryrxarctan,sincos22 (2)直角坐标系与球坐标系的关系 zyzyxzzyxrrzryrxarctanarccos,cossinsincossin222222 (3)柱坐标系与球坐标系的关系 22'22''arccos,cossinzrzzrrrzrr 3、梯度 (1)直角坐标系中: zayaxagradzyx (2)柱坐标系中: zararagradzr1 (3)球坐标系中: - 2 - sin11rararagradr 4.散度 (1)直角坐标系中: zAyAxAAdivzyX (2)柱坐标系中: zAArrArrAdivzr1)(1 (3)球坐标系中: ArArArrrAdivrsin1)(sinsin1)(122 5、高斯散度定理:dAdivdASdAS,意义为:任意矢量场A 的散度在场中任意体积内的体积分等于矢量场A 在限定该体积的闭合面上的通量。 6,旋度 (1) 直角坐标系中: zyxzyxAAAzyxaaaA (2) 柱坐标系中: zrzrArAAzraraarA1 (3) 球坐标系中: ArrAArarararArrsinsinsin12 两个重要性质:①矢量场旋度的散度恒为零,0A②标量场梯度的旋度恒为零,0 7、斯托克斯公式: ...

1、当您付费下载文档后,您只拥有了使用权限,并不意味着购买了版权,文档只能用于自身使用,不得用于其他商业用途(如 [转卖]进行直接盈利或[编辑后售卖]进行间接盈利)。
2、本站所有内容均由合作方或网友上传,本站不对文档的完整性、权威性及其观点立场正确性做任何保证或承诺!文档内容仅供研究参考,付费前请自行鉴别。
3、如文档内容存在违规,或者侵犯商业秘密、侵犯著作权等,请点击“违规举报”。

碎片内容

南京邮电大学电磁场与电磁波考试必背公式

确认删除?
VIP
微信客服
  • 扫码咨询
会员Q群
  • 会员专属群点击这里加入QQ群
客服邮箱
回到顶部