电脑桌面
添加小米粒文库到电脑桌面
安装后可以在桌面快捷访问

各种不锈钢材质参数大全

各种不锈钢材质参数大全_第1页
1/11
各种不锈钢材质参数大全_第2页
2/11
各种不锈钢材质参数大全_第3页
3/11
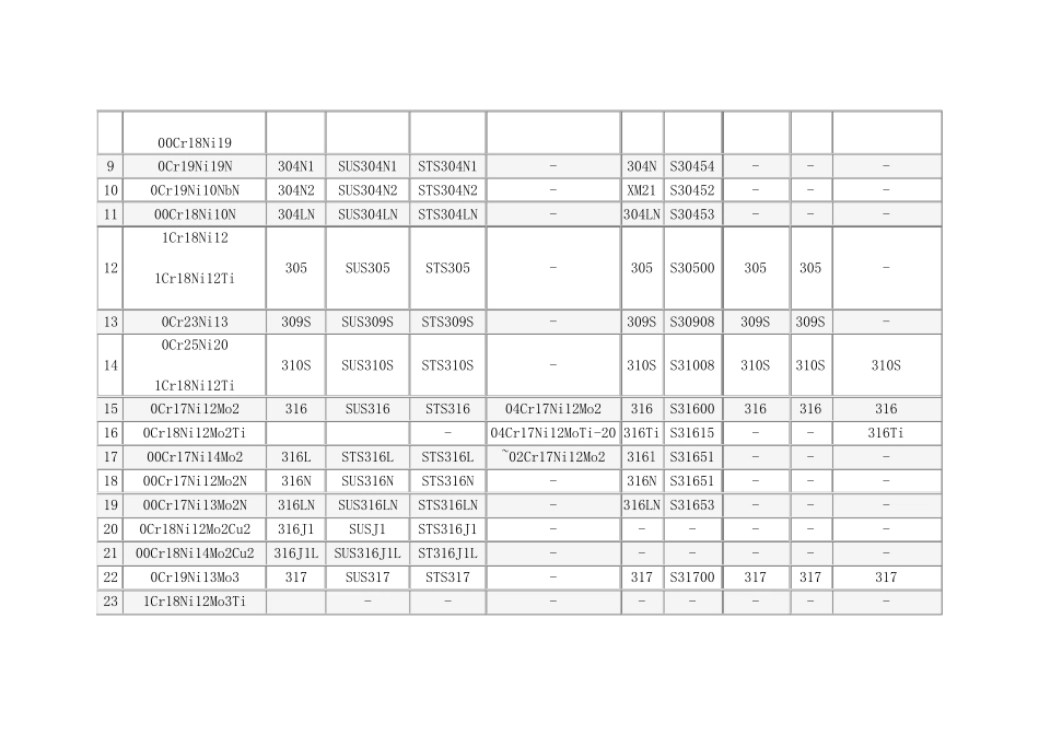
不锈钢材质参数 不锈钢材质参数: 中国与其他国家钢号近似对照 常用材料的化学成分和力学性能 常用双相不锈钢理化性能指标 中国与亚洲、北美诸国(地区)及澳大利亚的不锈钢钢号近似对照 No. 中国 GB 中国 台湾 CNS 日本 JIS 韩国 KS 印度 IS 美国 加拿大 CSA 墨西哥 DGN 澳大利亚 AS ASTM UNS 奥氏体不锈钢 1 1Cr17Mn6nNi5N 201 SUS201 STS201 10Cr17Mn6Ni4N-20 201 S20100 201 - 201-2 2 1Cr18Mn8Ni5N 202 SUS202 STS202 202 S20200 202 - - 3 1Cr17Ni7 301 SUS301 STS301 10Cr17Ni7 301 S30100 301 - 301 4 1Cr18Ni9 302 SUS302 STS302 - 302 S30200 302 302 302 5 Y1Cr18Ni9 303 SUS303 STS303 - 303 S30300 303 302 303 6 Y1Cr18Ni9Se 303Se SUS303Se STS303Se - 303Se S30323 303Se 303Se - 7 0Cr19Ni19 0Cr18Ni19 304 SUS304 SS304 07Cr18Ni9 304 304H S30400 304 304 304 8 00Cr19Ni10 304L SUS304L STS304L 02Cr18nIl1 304L S30403 304L 304L 00Cr18Ni19 9 0Cr19Ni19N 304N1 SUS304N1 STS304N1 - 304N S30454 - - - 10 0Cr19Ni10NbN 304N2 SUS304N2 STS304N2 - XM21 S30452 - - - 11 00Cr18Ni10N 304LN SUS304LN STS304LN - 304LN S30453 - - - 12 1Cr18Ni12 1Cr18Ni12Ti 305 SUS305 STS305 - 305 S30500 305 305 - 13 0Cr23Ni13 309S SUS309S STS309S - 309S S30908 309S 309S - 14 0Cr25Ni20 1Cr18Ni12Ti 310S SUS310S STS310S - 310S S31008 310S 310S 310S 15 0Cr17Ni12Mo2 316 SUS316 STS316 04Cr17Ni12Mo2 316 S31600 316 316 316 16 0Cr18Ni12Mo2Ti - 04Cr17Ni12MoTi-20 316Ti S31615 - - 316Ti 17 00Cr17Ni14Mo2 316L STS316L STS316L ~02Cr17Ni12Mo2 316l S31651 - - - 18 00Cr17Ni12Mo2N 316N SUS316N STS316N - 316N S31651 - - - 19 00Cr17Ni13Mo2N 316LN SUS316LN STS316LN - 316LN S31653 - - - 20 0Cr18Ni12Mo2Cu2 316J1 SUSJ1 STS316J1 - - - - - - 21 00Cr18Ni14Mo2Cu2 316J1L SUS316J1L ST316J1L - - - - - - 22 0Cr19Ni13Mo3 317 SUS317 STS317 - 317 S31700 317 317 317 23 1Cr18Ni12Mo3Ti - - - - - - - - 24 0Cr1...

1、当您付费下载文档后,您只拥有了使用权限,并不意味着购买了版权,文档只能用于自身使用,不得用于其他商业用途(如 [转卖]进行直接盈利或[编辑后售卖]进行间接盈利)。
2、本站所有内容均由合作方或网友上传,本站不对文档的完整性、权威性及其观点立场正确性做任何保证或承诺!文档内容仅供研究参考,付费前请自行鉴别。
3、如文档内容存在违规,或者侵犯商业秘密、侵犯著作权等,请点击“违规举报”。

碎片内容

各种不锈钢材质参数大全

确认删除?
VIP
微信客服
  • 扫码咨询
会员Q群
  • 会员专属群点击这里加入QQ群
客服邮箱
回到顶部