电脑桌面
添加小米粒文库到电脑桌面
安装后可以在桌面快捷访问

信息科学与工程学院复试成绩

信息科学与工程学院复试成绩_第1页
1/12
信息科学与工程学院复试成绩_第2页
2/12
信息科学与工程学院复试成绩_第3页
3/12
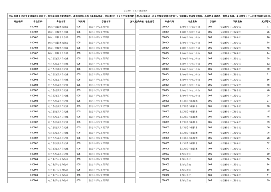
精品文档---下载后可任意编辑2024 年硕士讨论生复试成绩公布如下,如有疑问咨询复试学院,具体的录用名单(奖学金等级、录用类别)于 4 月中旬本网站公布。考生编号专业代码专业名称学院码学院名称复试笔试成绩080402测试计量技术及仪器005信息科学与工程学院080402测试计量技术及仪器005信息科学与工程学院080402测试计量技术及仪器005信息科学与工程学院080402测试计量技术及仪器005信息科学与工程学院080402测试计量技术及仪器005信息科学与工程学院080402测试计量技术及仪器005信息科学与工程学院080802电力系统及其自动化005信息科学与工程学院080802电力系统及其自动化005信息科学与工程学院080802电力系统及其自动化005信息科学与工程学院080802电力系统及其自动化005信息科学与工程学院080802电力系统及其自动化005信息科学与工程学院080802电力系统及其自动化005信息科学与工程学院080802电力系统及其自动化005信息科学与工程学院080802电力系统及其自动化005信息科学与工程学院080802电力系统及其自动化005信息科学与工程学院080802电力系统及其自动化005信息科学与工程学院080802电力系统及其自动化005信息科学与工程学院080802电力系统及其自动化005信息科学与工程学院080802电力系统及其自动化005信息科学与工程学院080802电力系统及其自动化005信息科学与工程学院080802电力系统及其自动化005信息科学与工程学院080802电力系统及其自动化005信息科学与工程学院080802电力系统及其自动化005信息科学与工程学院080802电力系统及其自动化005信息科学与工程学院080802电力系统及其自动化005信息科学与工程学院080804电力电子与电力传动005信息科学与工程学院080804电力电子与电力传动005信息科学与工程学院080804电力电子与电力传动005信息科学与工程学院080804电力电子与电力传动005信息科学与工程学院080804电力电子与电力传动005信息科学与工程学院2024 年硕士讨论生复试成绩公布如下,如有疑问咨询复试学院,具体的录用名单(奖学金等级、录用类别)于 4 月中旬本网站公布。考生编号专业代码专业名称学院码学院名称复试笔试成绩080804电力电子与电力传动005信息科学与工程学院77080804电力电子与电力传动005信息科学与工程学院75080804电力电子与电力传动005信息科学与工程学院76080804电力电子与电力传动005信息科学与工程学院58080804电力电子与电力传动005信息科学与工程学院48080804电力电子与电力传动005信息科学与工程学...

1、当您付费下载文档后,您只拥有了使用权限,并不意味着购买了版权,文档只能用于自身使用,不得用于其他商业用途(如 [转卖]进行直接盈利或[编辑后售卖]进行间接盈利)。
2、本站所有内容均由合作方或网友上传,本站不对文档的完整性、权威性及其观点立场正确性做任何保证或承诺!文档内容仅供研究参考,付费前请自行鉴别。
3、如文档内容存在违规,或者侵犯商业秘密、侵犯著作权等,请点击“违规举报”。

碎片内容

信息科学与工程学院复试成绩

确认删除?
VIP
微信客服
  • 扫码咨询
会员Q群
  • 会员专属群点击这里加入QQ群
客服邮箱
回到顶部