电脑桌面
添加小米粒文库到电脑桌面
安装后可以在桌面快捷访问

有机化学试卷附答案

有机化学试卷附答案_第1页
1/4
有机化学试卷附答案_第2页
2/4
有机化学试卷附答案_第3页
3/4
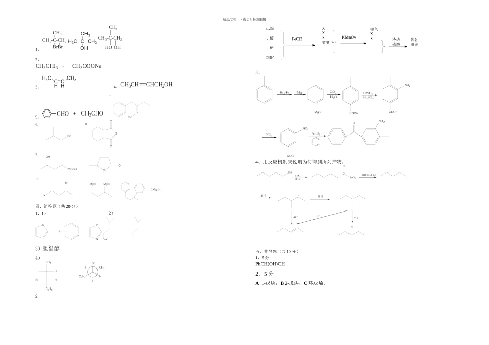
精品文档---下载后可任意编辑XX 学院 XX 学年 XX 学期《 有机化学 》试卷一、命名题(用系统命名法给下列各种化合物命名或依据命名写出相应的结构式。有顺反异构或旋光异构的化合物需根据 Z、E 或 R、S 命名规则来命名。每题 1 分,共 10 分)1、 2、3、 4、5、 6、乙基异丙基醚7、苯乙酮 8、苯甲酸乙酯9、阿司匹林 10、4-甲氧基-2-溴吡啶二、选择题(共 30 分,每小题 2 分) 1.① 3,3-二甲基戊烷②正庚烷③ 2-甲基庚烷④正戊烷⑤ 2-甲基已烷沸点降低次序为:()A.③>②>⑤>①>④ B. ③>②>⑤>④>①C. ③>⑤>②>①>④ D.②>③>①>⑤>④2. 化合物中的碳,哪个碳是 sp 杂化?(),,3 C.4,,3,4,53. 下列碳正离子的稳定性最大的是()A. B. C. D. 4. 下列化合物的酸性最大的是:()5. 下列化合物最容易进行 SN1 反应的是() A.CH3CH2CH2CH2Br B. CH3CHBrCH(CH3)CH3C. CH3CHBrCH2CH3 D. CH3C(CH3)BrCH2CH36. 比较下列化合物在水中的溶解度: ( )(1) HOCH2CH2CH2OH (2) CH3CH2OCH2CH3 (3) CH3CH2CH2CH2CH3 (4) CH3CH2CH2CH2OHA.(3)>(2)>(1)>(4) B. (1)>(2)>(4)>(3) C. (2)>(4)>(1)>(3) D. (1)>(4)>(2)>(3) 7. 下列化合物的碱性次序为:( )a C2H5NH2 b 苯胺 c 对甲苯胺 d CH3CH2CONH2 e (C2H5)2NHA. a>c>e>b>d B. e>a>c>b>d C. e>a>c>d>b D. a>e>b>c>d8. 下列化合物能发生碘仿反应的是( ) A. 2-甲基丁醛 B. 异丙醇 C. 3-戊酮 D. 丙醇9. 比较下列化合物卤化反应时的反应速率 ( )A. a >b > d >c B. b >d >a >c C. b >c >a >d D. d >b >c >a10. 在下列脂环烃中,最不稳定的是()A.环戊烷 B.环丁烷 C.环丙烷 D.环己烷11. 下列化合物用 KMnO4/H+氧化只得到一种产物的是()A. (CH3)2C=CHCH3B. CH3CH=CH2C. CH3CH= CHCH3D. CH3CH=CHCH2CH2CH312. 脂肪胺中与亚硝酸反应能够放出氮气的是( ) A.季胺盐 B.叔胺 C.仲胺 D.伯胺13. 下列化合物按其与 Lucas 试剂作用最快的是() A. 2-丁醇 B. 2-甲基-2-丁醇 C. 2-甲基-1-丙醇 D. 2-丙醇14.丙烯与氯气在光照下所进行的反应是属于: ( )A. 自由基取代反应 B. 自由基加成反应 C. 亲电取代反应 D. 亲核取代反应15.构造式为 CH3CHClCH=CHCH3的立体异构体数目是: ( ) A. 2 种 B. 4 种 C. 3 种 D. 1 种三、...

1、当您付费下载文档后,您只拥有了使用权限,并不意味着购买了版权,文档只能用于自身使用,不得用于其他商业用途(如 [转卖]进行直接盈利或[编辑后售卖]进行间接盈利)。
2、本站所有内容均由合作方或网友上传,本站不对文档的完整性、权威性及其观点立场正确性做任何保证或承诺!文档内容仅供研究参考,付费前请自行鉴别。
3、如文档内容存在违规,或者侵犯商业秘密、侵犯著作权等,请点击“违规举报”。

碎片内容

有机化学试卷附答案

您可能关注的文档

确认删除?
VIP
微信客服
  • 扫码咨询
会员Q群
  • 会员专属群点击这里加入QQ群
客服邮箱
回到顶部